🇳🇴 🇬🇧 🇩🇪 🇨🇿 🇫🇮

Meteor, poloha: Odda 2024-12-14 18:51:22 UTC

Soubor KML  |  InteraktivnĂ­ mapa

Mapa zobrazuje dráhy meteoru. Světlejší čáry ukazují směry od pozorovacích stanic při objevení se meteoru a tmavší čáry, kde byl naposledy viděn. Modrá šipka značí viditelnou dráhu meteoru.

static map
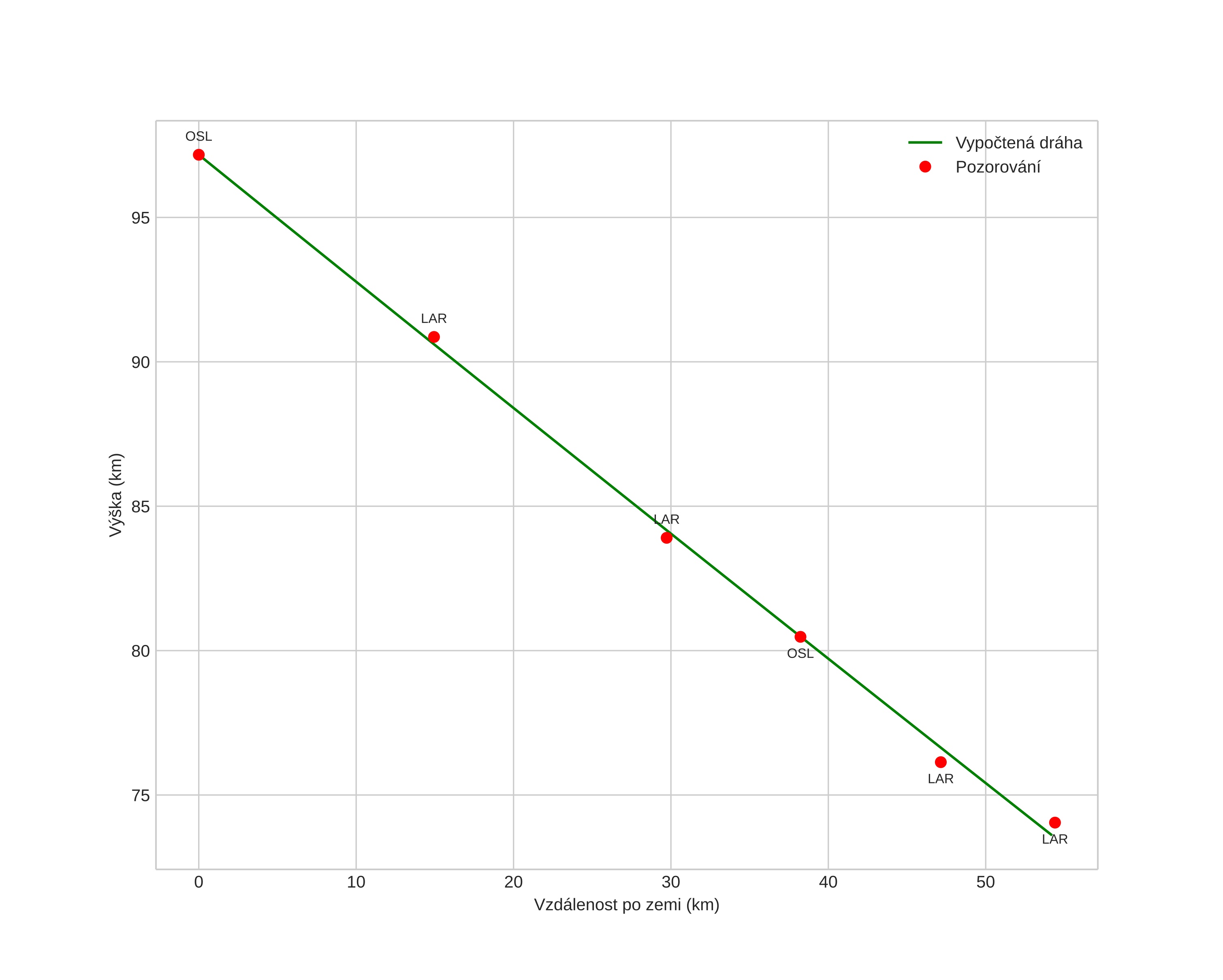
height profile
Atmosférická dráha meteoru:
Počáteční výška: 98,8 km
Konečná výška: 73,4 km
Počáteční poloha: 60,305N 7,433E
Konečná poloha: 60,090N 6,538E
Směr: 244,7°
Sklon: 24,8°
VstupnĂ­ rychlost: 37,5 km/s
Rektascenze radiantu: 07:35 (113,8°)
Deklinace radiantu: 32,7°
MeteorickĂ˝ roj: Geminidy
Elementy dráhy meteoroidu:
Vzdálenost v periheliu: 0,142 AU
Excentricita: 0,908
Sklon dráhy: 25,3°
Délka vzestupného uzlu: 262,9°
Argument perihelia: 323,1°
Střední anomálie: 341,0°
Epocha: 2024 DEC 14 18:51:22
orbit plot

NeinteraktivnĂ­ graf | InteraktivnĂ­ graf

position vs time
speed and acceleration