🇳🇴 🇬🇧 🇩🇪 🇨🇿 🇫🇮

Meteor, poloha: Frövi 2024-12-14 19:07:24 UTC

Soubor KML  |  InteraktivnĂ­ mapa

Mapa zobrazuje dráhy meteoru. Světlejší čáry ukazují směry od pozorovacích stanic při objevení se meteoru a tmavší čáry, kde byl naposledy viděn. Modrá šipka značí viditelnou dráhu meteoru.

static map
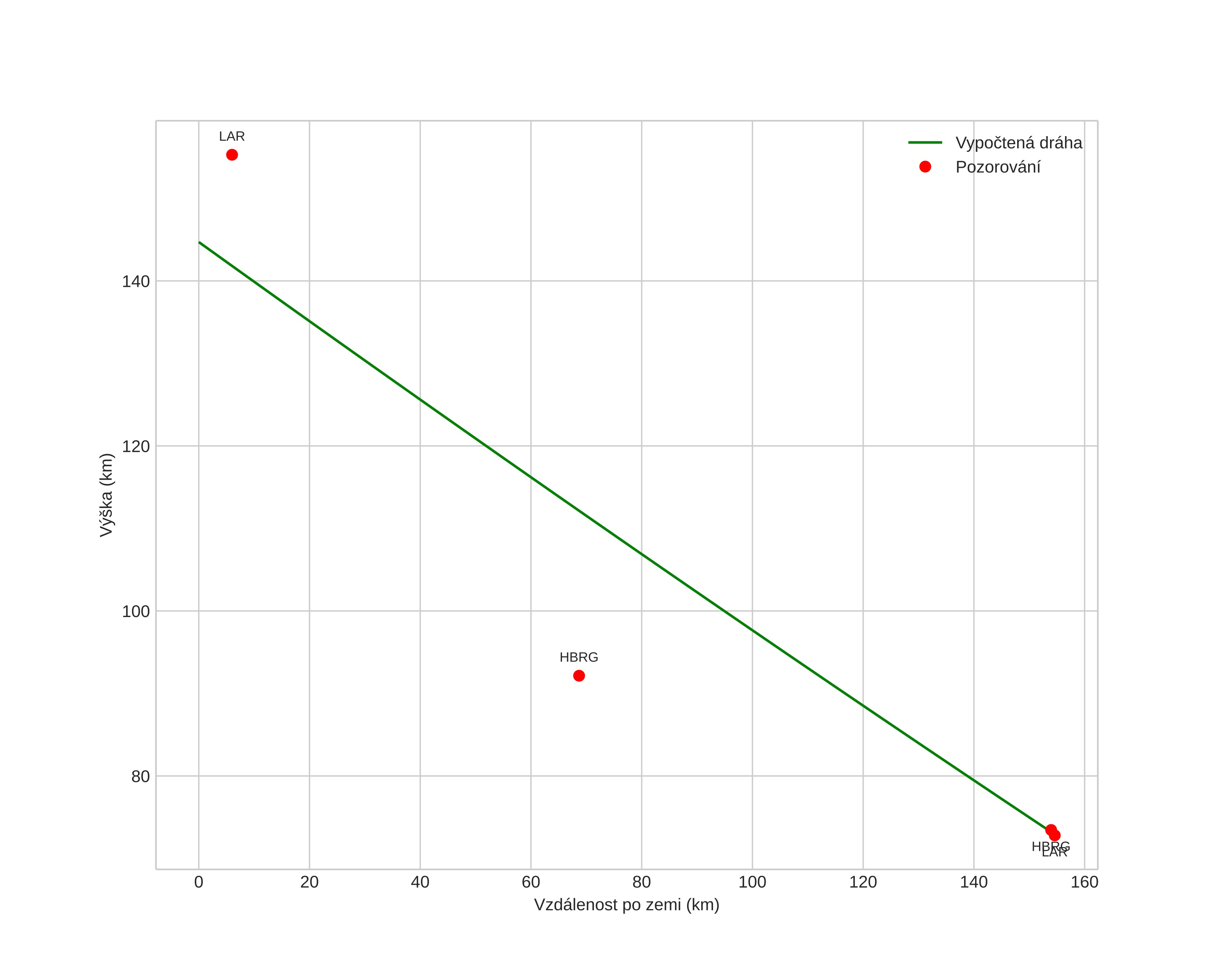
height profile
Atmosférická dráha meteoru:
Počáteční výška: 138,8 km
Konečná výška: 65,9 km
Počáteční poloha: 60,056N 17,678E
Konečná poloha: 59,420N 15,317E
Směr: 242,9°
Sklon: 25,9°
VstupnĂ­ rychlost: 73,0 km/s
Rektascenze radiantu: 08:31 (127,9°)
Deklinace radiantu: 35,5°
MeteorickĂ˝ roj: sporadickĂ˝
Elementy dráhy meteoroidu:
Vzdálenost v periheliu: 0,247 AU
Excentricita: 1,476
Sklon dráhy: 122,6°
Délka vzestupného uzlu: 263,0°
Argument perihelia: 284,8°
Střední anomálie: -68,6°
Epocha: 2024 DEC 14 19:07:24
orbit plot

NeinteraktivnĂ­ graf | InteraktivnĂ­ graf

position vs time
speed and acceleration