🇳🇴 🇬🇧 🇩🇪 🇨🇿 🇫🇮

Meteor, poloha: Odda 2024-12-14 19:14:27 UTC

Soubor KML  |  InteraktivnĂ­ mapa

Mapa zobrazuje dráhy meteoru. Světlejší čáry ukazují směry od pozorovacích stanic při objevení se meteoru a tmavší čáry, kde byl naposledy viděn. Modrá šipka značí viditelnou dráhu meteoru.

static map
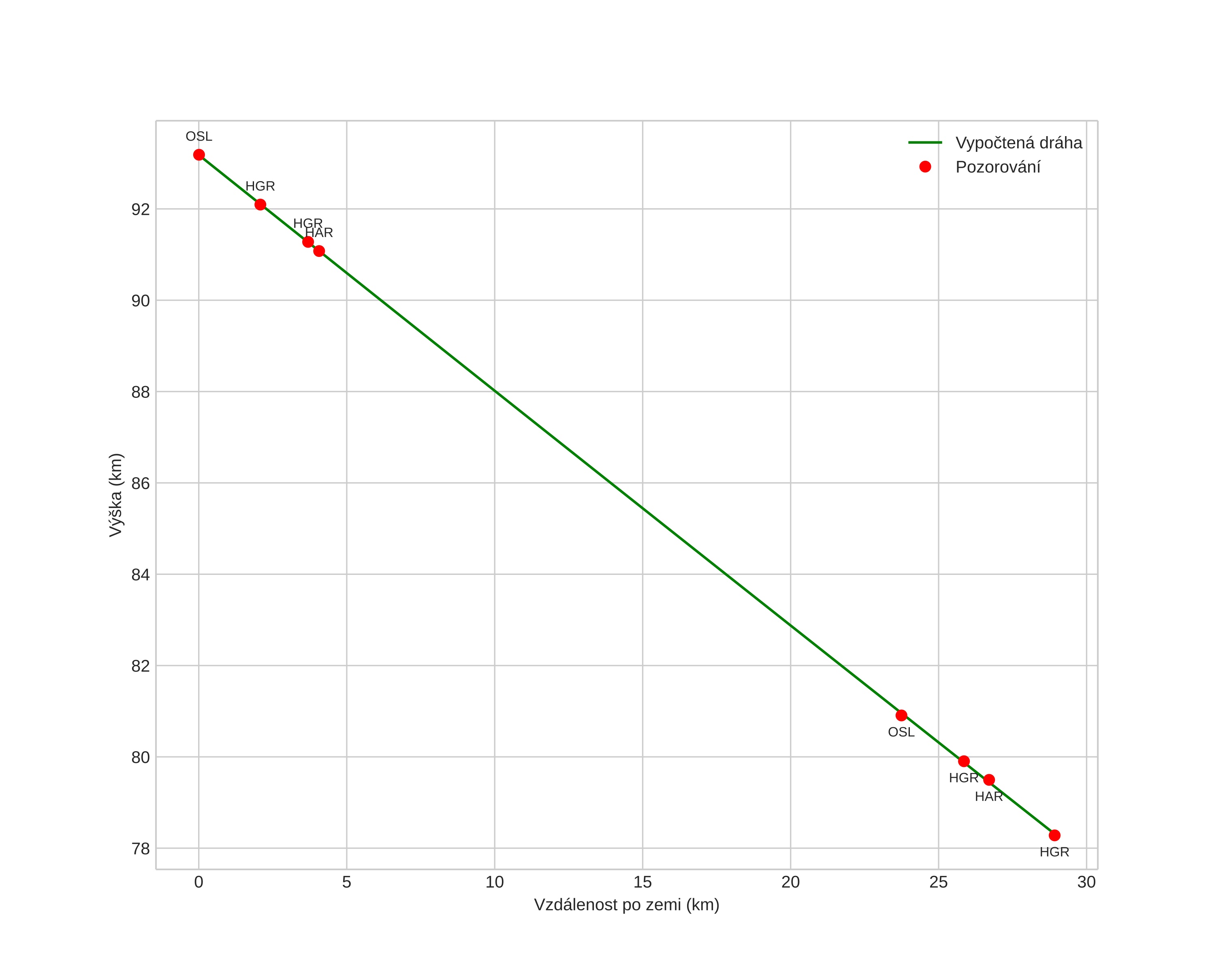
height profile
Atmosférická dráha meteoru:
Počáteční výška: 93,4 km
Konečná výška: 78,3 km
Počáteční poloha: 60,208N 7,174E
Konečná poloha: 60,109N 6,679E
Směr: 248,3°
Sklon: 27,1°
VstupnĂ­ rychlost: 34,2 km/s
Rektascenze radiantu: 07:38 (114,6°)
Deklinace radiantu: 32,6°
MeteorickĂ˝ roj: Geminidy
Elementy dráhy meteoroidu:
Vzdálenost v periheliu: 0,161 AU
Excentricita: 0,866
Sklon dráhy: 21,6°
Délka vzestupného uzlu: 262,9°
Argument perihelia: 323,4°
Střední anomálie: 330,6°
Epocha: 2024 DEC 14 19:14:27
orbit plot

NeinteraktivnĂ­ graf | InteraktivnĂ­ graf

position vs time
speed and acceleration