🇳🇴 🇬🇧 🇩🇪 🇨🇿 🇫🇮

Meteor, poloha: Hemsedal 2024-12-14 20:07:48 UTC

Soubor KML  |  InteraktivnĂ­ mapa

Mapa zobrazuje dráhy meteoru. Světlejší čáry ukazují směry od pozorovacích stanic při objevení se meteoru a tmavší čáry, kde byl naposledy viděn. Modrá šipka značí viditelnou dráhu meteoru.

static map
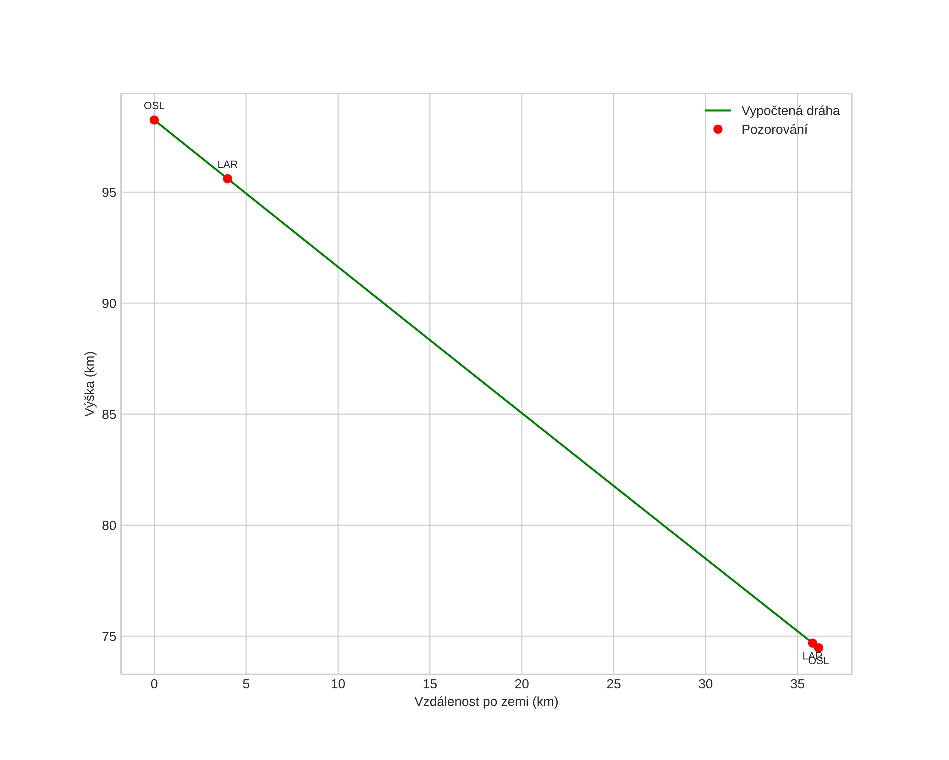
height profile
Atmosférická dráha meteoru:
Počáteční výška: 98,2 km
Konečná výška: 74,5 km
Počáteční poloha: 60,852N 9,070E
Konečná poloha: 60,808N 8,412E
Směr: 262,4°
Sklon: 33,3°
VstupnĂ­ rychlost: 38,2 km/s
Rektascenze radiantu: 07:34 (113,6°)
Deklinace radiantu: 31,3°
MeteorickĂ˝ roj: Geminidy
Elementy dráhy meteoroidu:
Vzdálenost v periheliu: 0,129 AU
Excentricita: 0,920
Sklon dráhy: 23,6°
Délka vzestupného uzlu: 263,0°
Argument perihelia: 324,4°
Střední anomálie: 342,7°
Epocha: 2024 DEC 14 20:07:48
orbit plot

NeinteraktivnĂ­ graf | InteraktivnĂ­ graf

position vs time
speed and acceleration