🇳🇴 🇬🇧 🇩🇪 🇨🇿 🇫🇮

Meteor Stangen yllä 2024-12-14 20:08:07 UTC

KML-tiedosto  |  Interaktiivinen kartta

Kartta näyttää meteorin suuntahavainnot. Vaaleammat viivat näyttävät suunnat havaintoasemilta meteorin ilmestyessä, ja tummemmat viivat näyttävät, missä se viimeksi nähtiin. Sininen nuoli näyttää meteorin näkyvän lennon.

static map
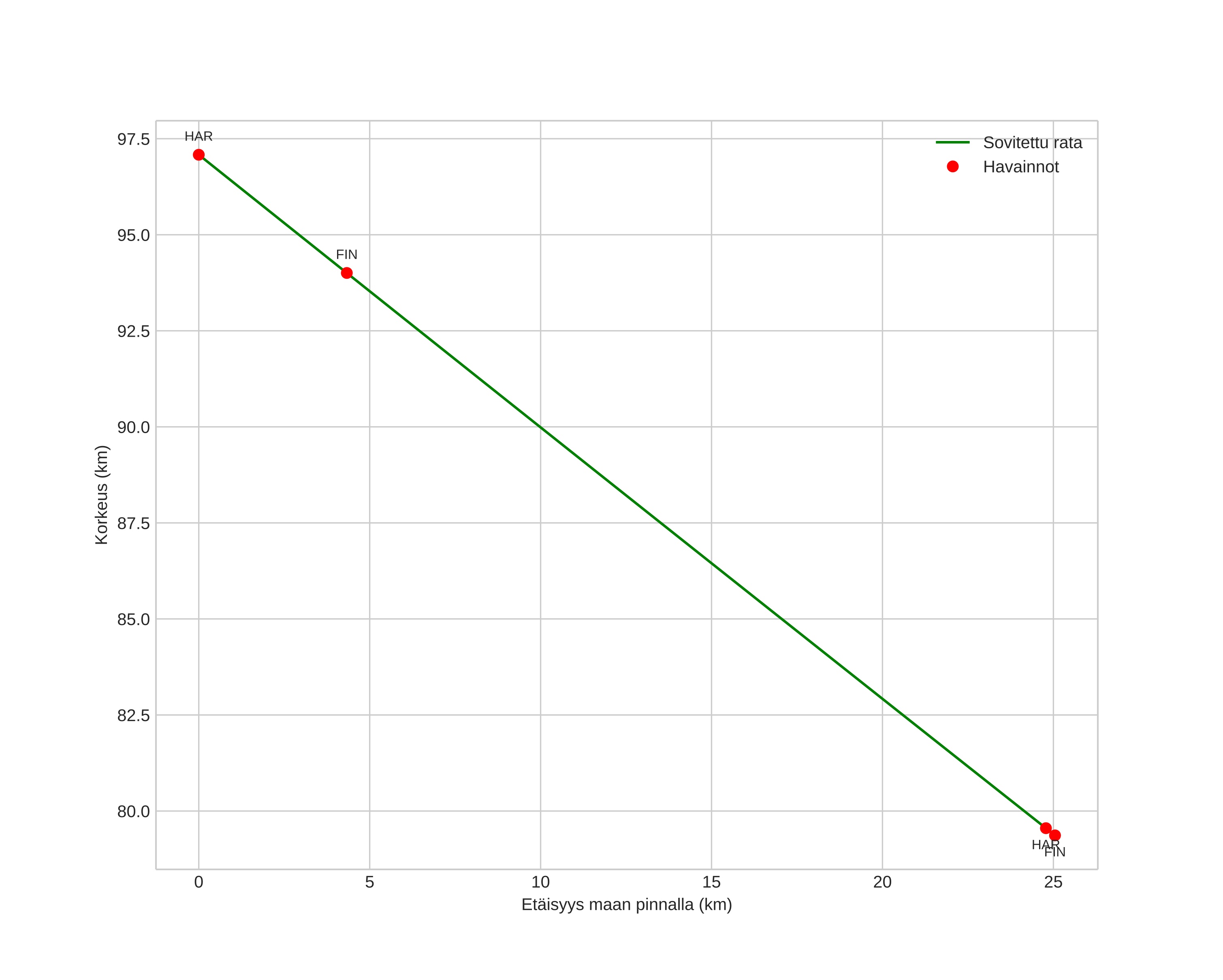
height profile
Meteorin ilmakehärata:
Alkukorkeus: 97,2 km
Loppukorkeus: 79,5 km
Alkupiste: 60,831N 11,667E
Loppupiste: 60,805N 11,206E
Suunta: 263,6°
Kallistuskulma: 35,2°
Tulonopeus: 36,7 km/s
Radiantin R,A,: 07:36 (114,1°)
Radiantin Dekl,: 32,2°
Meteoriparvi: Geminidit
Meteoroidin rataelementit:
Perihelietäisyys: 0,142 AU
Eksentrisyys: 0,900
Inklinaatio: 23,7°
Nousevan solmun pituus: 263,0°
Perihelin argumentti: 323,7°
Keskianomalia: 338,5°
Epookki: 2024 DEC 14 20:08:07
orbit plot

Ei-interaktiivinen kuvaaja | Interaktiivinen kuvaaja

position vs time
speed and acceleration