🇳🇴 🇬🇧 🇩🇪 🇨🇿 🇫🇮

Meteor über Risør 2024-12-14 20:08:30 UTC

KML-Datei  |  Interaktive Karte

Die Karte zeigt die Peilungen für den Meteor. Die helleren Linien zeigen die Richtungen von den Beobachtungsorten beim Erscheinen des Meteors, und die dunkleren Linien, wo er zuletzt gesehen wurde. Der blaue Pfeil zeigt die sichtbare Bahn des Meteors.

static map
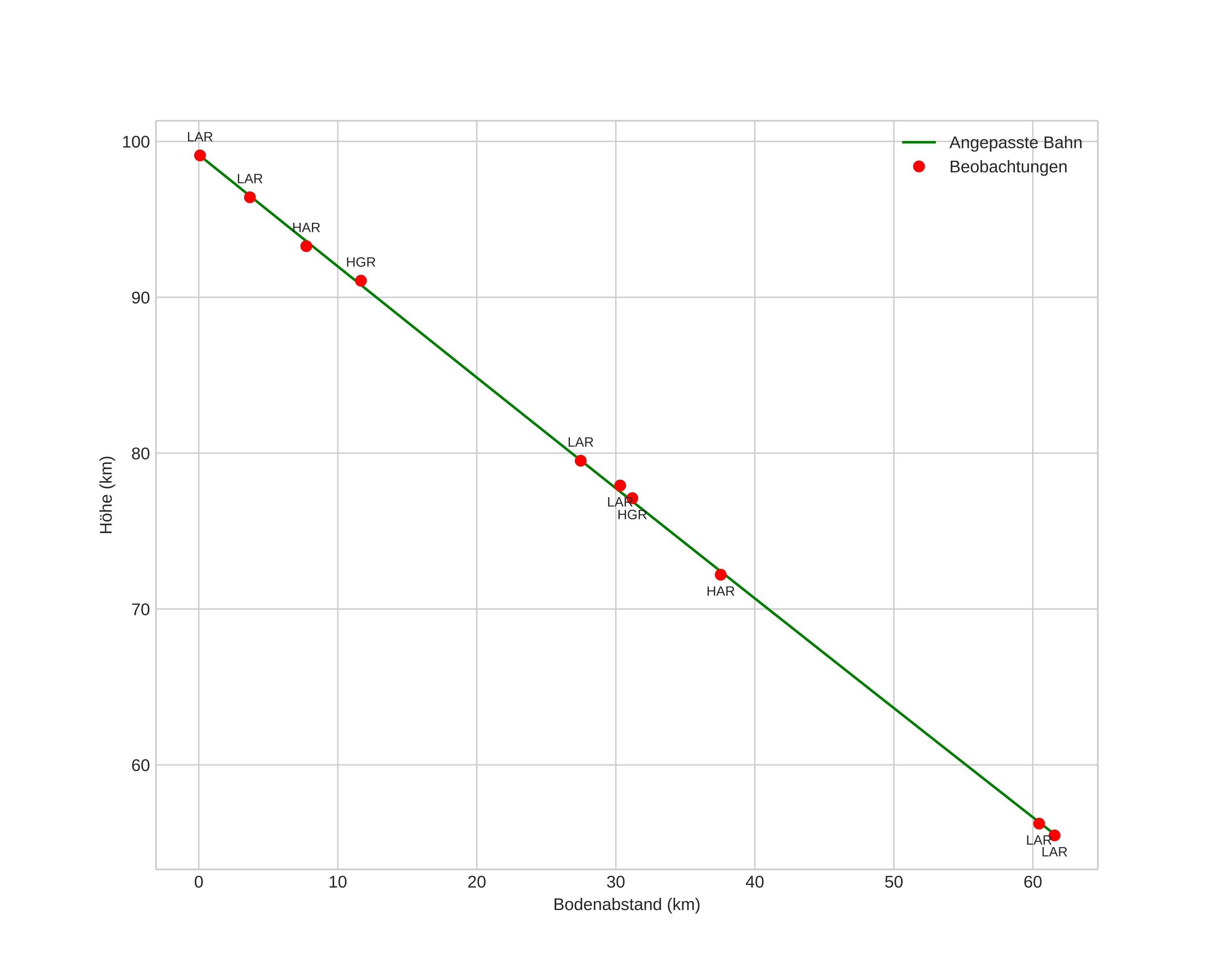
height profile
Atmosphärische Bahn des Meteors:
Anfangshöhe: 96,4 km
Endhöhe: 57,7 km
Startposition: 58,731N 10,425E
Endposition: 58,646N 9,438E
Richtung: 261,0°
Neigungswinkel: 33,8°
Eintrittsgeschwindigkeit: 36,0 km/s
Rektaszension des Radianten: 07:39 (114,8°)
Deklination des Radianten: 31,9°
Meteorstrom: Geminiden
Bahnelemente des Meteoroiden:
Periheldistanz: 0,141 AU
Exzentrizität: 0,892
Inklination: 22,8°
Länge des aufsteigenden Knotens: 263,0°
Argument des Perihels: 324,7°
Mittlere Anomalie: 335,3°
Epoche: 2024 DEC 14 20:08:30
orbit plot

Nicht-interaktives Diagramm | Interaktives Diagramm

position vs time
speed and acceleration

Hagar (HGR) cam4


gnomonic
Videos
• Gnomonisch
• Gnomonisch mit Koordinaten
• Original
• Original mit Koordinaten
Bilder
• Gnomonisch
• Gnomonisch mit Koordinaten
• Gnomonisch mit Beschriftungen
• Original
• Original mit Koordinaten
Textdateien
• Erkennung
• Beobachtung
• Koordinaten
• Protokoll
Helligkeit