🇳🇴 🇬🇧 🇩🇪 🇨🇿 🇫🇮

Meteor, poloha: Dokka 2024-12-14 21:46:20 UTC

Soubor KML  |  InteraktivnĂ­ mapa

Mapa zobrazuje dráhy meteoru. Světlejší čáry ukazují směry od pozorovacích stanic při objevení se meteoru a tmavší čáry, kde byl naposledy viděn. Modrá šipka značí viditelnou dráhu meteoru.

static map
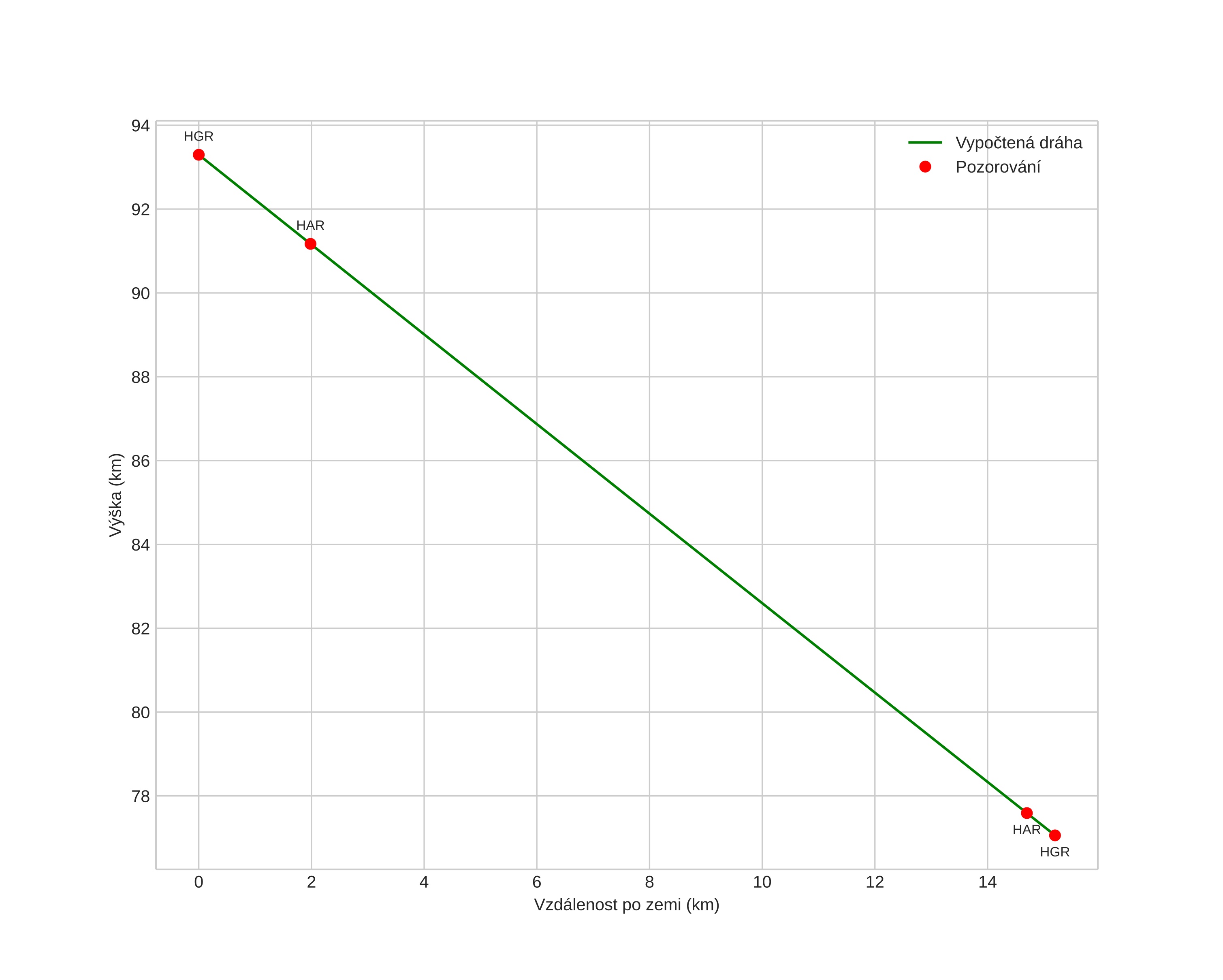
height profile
Atmosférická dráha meteoru:
Počáteční výška: 92,8 km
Konečná výška: 76,9 km
Počáteční poloha: 60,914N 10,425E
Konečná poloha: 60,950N 10,147E
Směr: 285,1°
Sklon: 45,7°
VstupnĂ­ rychlost: 36,4 km/s
Rektascenze radiantu: 07:36 (114,0°)
Deklinace radiantu: 31,7°
MeteorickĂ˝ roj: Geminidy
Elementy dráhy meteoroidu:
Vzdálenost v periheliu: 0,142 AU
Excentricita: 0,897
Sklon dráhy: 22,3°
Délka vzestupného uzlu: 263,1°
Argument perihelia: 324,0°
Střední anomálie: 337,6°
Epocha: 2024 DEC 14 21:46:20
orbit plot

NeinteraktivnĂ­ graf | InteraktivnĂ­ graf

position vs time
speed and acceleration