🇳🇴 🇬🇧 🇩🇪 🇨🇿 🇫🇮

Meteor, poloha: Sauland 2024-12-14 21:53:23 UTC

Soubor KML  |  InteraktivnĂ­ mapa

Mapa zobrazuje dráhy meteoru. Světlejší čáry ukazují směry od pozorovacích stanic při objevení se meteoru a tmavší čáry, kde byl naposledy viděn. Modrá šipka značí viditelnou dráhu meteoru.

static map
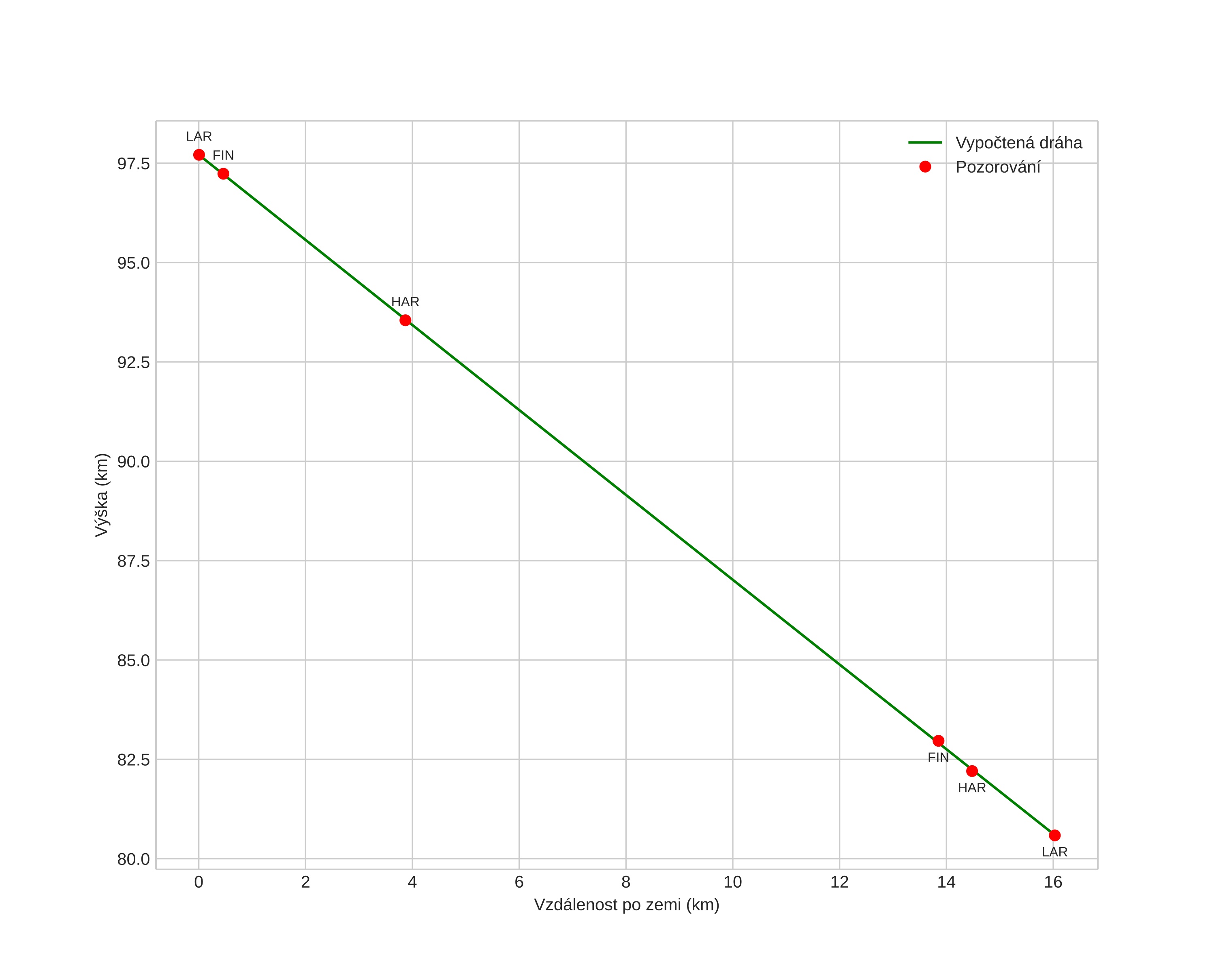
height profile
Atmosférická dráha meteoru:
Počáteční výška: 98,7 km
Konečná výška: 81,1 km
Počáteční poloha: 59,658N 9,139E
Konečná poloha: 59,694N 8,849E
Směr: 283,9°
Sklon: 46,4°
VstupnĂ­ rychlost: 37,4 km/s
Rektascenze radiantu: 07:36 (114,2°)
Deklinace radiantu: 32,1°
MeteorickĂ˝ roj: Geminidy
Elementy dráhy meteoroidu:
Vzdálenost v periheliu: 0,135 AU
Excentricita: 0,909
Sklon dráhy: 24,5°
Délka vzestupného uzlu: 263,1°
Argument perihelia: 324,2°
Střední anomálie: 340,4°
Epocha: 2024 DEC 14 21:53:23
orbit plot

NeinteraktivnĂ­ graf | InteraktivnĂ­ graf

position vs time
speed and acceleration