🇳🇴 🇬🇧 🇩🇪 🇨🇿 🇫🇮

Meteor, poloha: Sauland 2024-12-14 21:53:25 UTC

Soubor KML  |  InteraktivnĂ­ mapa

Mapa zobrazuje dráhy meteoru. Světlejší čáry ukazují směry od pozorovacích stanic při objevení se meteoru a tmavší čáry, kde byl naposledy viděn. Modrá šipka značí viditelnou dráhu meteoru.

static map
height profile
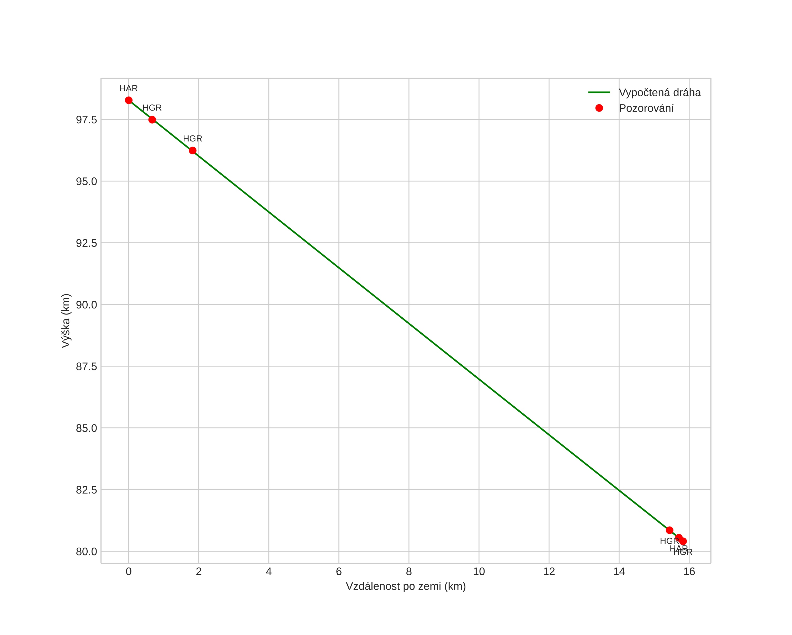
Atmosférická dráha meteoru:
Počáteční výška: 97,8 km
Konečná výška: 79,9 km
Počáteční poloha: 59,656N 9,123E
Konečná poloha: 59,697N 8,859E
Směr: 287,2°
Sklon: 49,1°
VstupnĂ­ rychlost: 38,5 km/s
Rektascenze radiantu: 07:20 (110,1°)
Deklinace radiantu: 33,0°
MeteorickĂ˝ roj: Geminidy
Elementy dráhy meteoroidu:
Vzdálenost v periheliu: 0,164 AU
Excentricita: 0,923
Sklon dráhy: 23,7°
Délka vzestupného uzlu: 263,1°
Argument perihelia: 317,4°
Střední anomálie: 348,6°
Epocha: 2024 DEC 14 21:53:25
orbit plot

NeinteraktivnĂ­ graf | InteraktivnĂ­ graf

position vs time
speed and acceleration