🇳🇴 🇬🇧 🇩🇪 🇨🇿 🇫🇮

Meteor, poloha: Treungen 2024-12-14 22:14:27 UTC

Soubor KML  |  InteraktivnĂ­ mapa

Mapa zobrazuje dráhy meteoru. Světlejší čáry ukazují směry od pozorovacích stanic při objevení se meteoru a tmavší čáry, kde byl naposledy viděn. Modrá šipka značí viditelnou dráhu meteoru.

static map
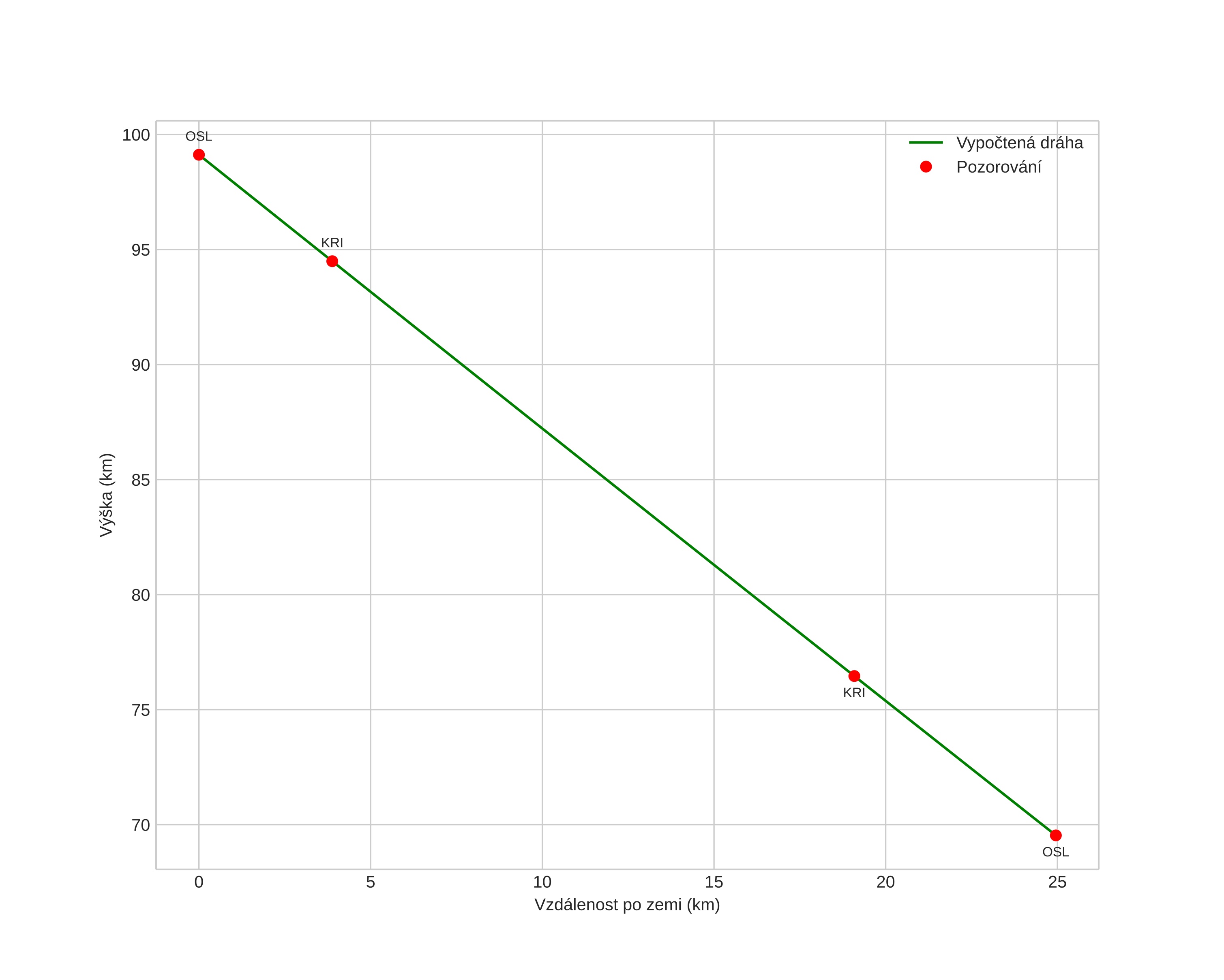
height profile
Atmosférická dráha meteoru:
Počáteční výška: 92,9 km
Konečná výška: 75,5 km
Počáteční poloha: 59,012N 8,662E
Konečná poloha: 59,051N 8,412E
Směr: 287,1°
Sklon: 49,4°
VstupnĂ­ rychlost: 35,6 km/s
Rektascenze radiantu: 07:37 (114,4°)
Deklinace radiantu: 32,8°
MeteorickĂ˝ roj: Geminidy
Elementy dráhy meteoroidu:
Vzdálenost v periheliu: 0,153 AU
Excentricita: 0,884
Sklon dráhy: 23,5°
Délka vzestupného uzlu: 263,1°
Argument perihelia: 323,2°
Střední anomálie: 335,2°
Epocha: 2024 DEC 14 22:14:27
orbit plot

NeinteraktivnĂ­ graf | InteraktivnĂ­ graf

position vs time
speed and acceleration