🇳🇴 🇬🇧 🇩🇪 🇨🇿 🇫🇮

Meteor, poloha: Ă…mot 2024-12-14 22:42:33 UTC

Soubor KML  |  InteraktivnĂ­ mapa

Mapa zobrazuje dráhy meteoru. Světlejší čáry ukazují směry od pozorovacích stanic při objevení se meteoru a tmavší čáry, kde byl naposledy viděn. Modrá šipka značí viditelnou dráhu meteoru.

static map
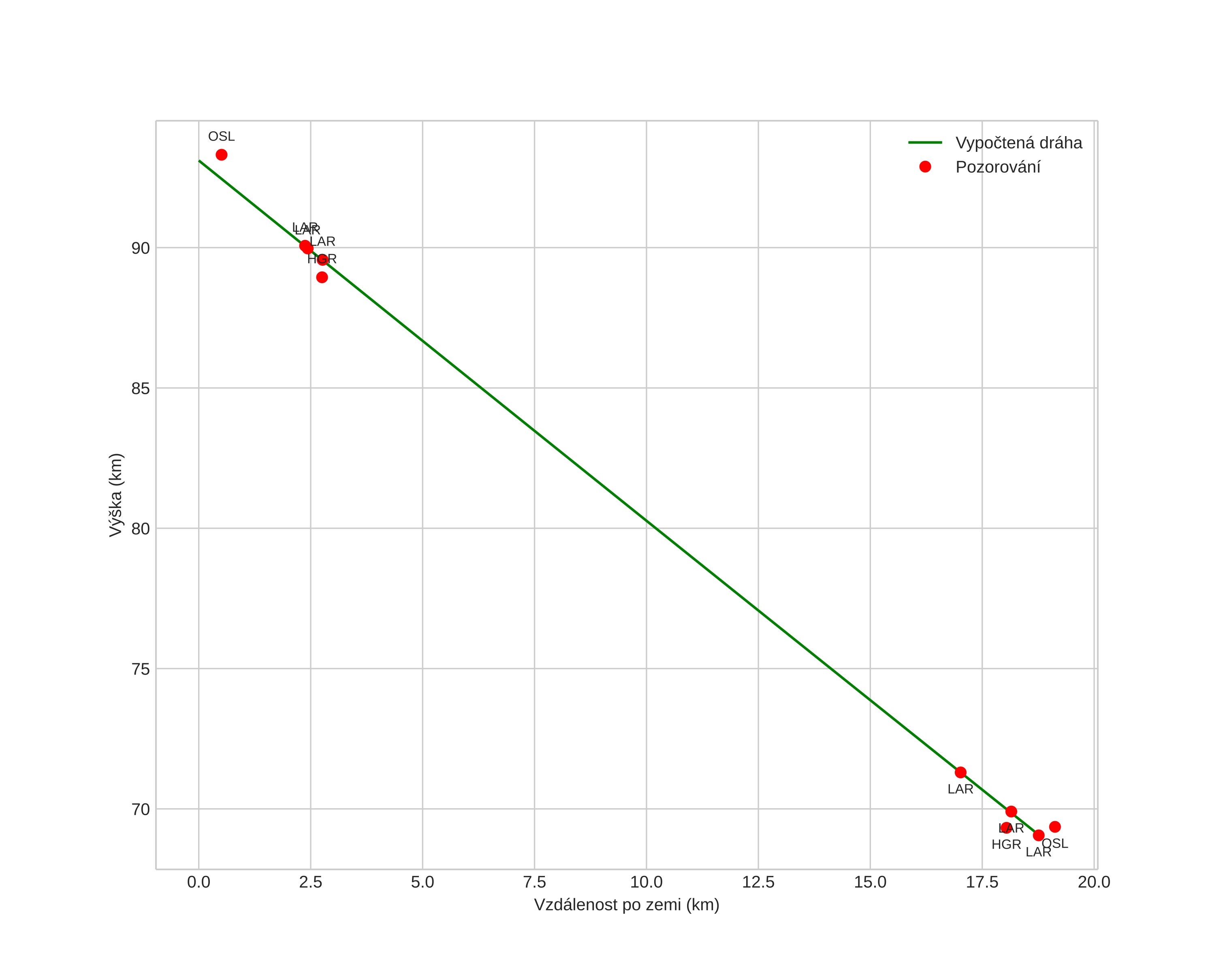
height profile
Atmosférická dráha meteoru:
Počáteční výška: 90,0 km
Konečná výška: 68,7 km
Počáteční poloha: 59,567N 8,457E
Konečná poloha: 59,631N 8,189E
Směr: 295,2°
Sklon: 52,0°
VstupnĂ­ rychlost: 35,4 km/s
Rektascenze radiantu: 07:38 (114,6°)
Deklinace radiantu: 32,4°
MeteorickĂ˝ roj: Geminidy
Elementy dráhy meteoroidu:
Vzdálenost v periheliu: 0,151 AU
Excentricita: 0,883
Sklon dráhy: 22,7°
Délka vzestupného uzlu: 263,1°
Argument perihelia: 323,7°
Střední anomálie: 334,3°
Epocha: 2024 DEC 14 22:42:33
orbit plot

NeinteraktivnĂ­ graf | InteraktivnĂ­ graf

position vs time
speed and acceleration