🇳🇴 🇬🇧 🇩🇪 🇨🇿 🇫🇮

Meteor, poloha: Bagn 2024-12-14 23:35:16 UTC

Soubor KML  |  InteraktivnĂ­ mapa

Mapa zobrazuje dráhy meteoru. Světlejší čáry ukazují směry od pozorovacích stanic při objevení se meteoru a tmavší čáry, kde byl naposledy viděn. Modrá šipka značí viditelnou dráhu meteoru.

static map
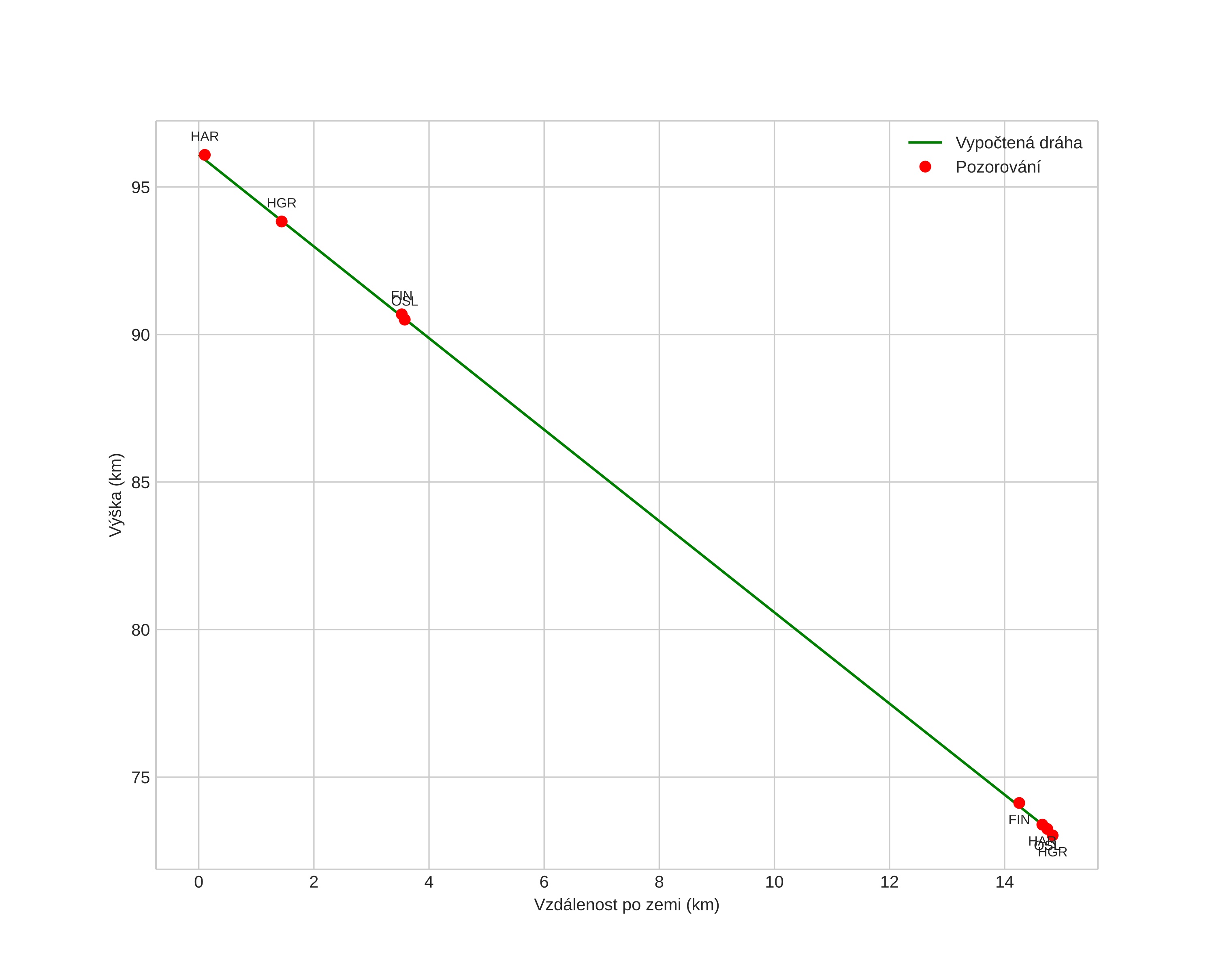
height profile
Atmosférická dráha meteoru:
Počáteční výška: 97,4 km
Konečná výška: 73,1 km
Počáteční poloha: 60,618N 9,767E
Konečná poloha: 60,717N 9,567E
Směr: 315,4°
Sklon: 57,4°
VstupnĂ­ rychlost: 37,2 km/s
Rektascenze radiantu: 07:35 (114,0°)
Deklinace radiantu: 32,4°
MeteorickĂ˝ roj: Geminidy
Elementy dráhy meteoroidu:
Vzdálenost v periheliu: 0,141 AU
Excentricita: 0,906
Sklon dráhy: 24,7°
Délka vzestupného uzlu: 263,1°
Argument perihelia: 323,2°
Střední anomálie: 340,5°
Epocha: 2024 DEC 14 23:35:16
orbit plot

NeinteraktivnĂ­ graf | InteraktivnĂ­ graf

position vs time
speed and acceleration