🇳🇴 🇬🇧 🇩🇪 🇨🇿 🇫🇮

Meteor, poloha: Trøim 2024-12-15 00:05:36 UTC

Soubor KML  |  InteraktivnĂ­ mapa

Mapa zobrazuje dráhy meteoru. Světlejší čáry ukazují směry od pozorovacích stanic při objevení se meteoru a tmavší čáry, kde byl naposledy viděn. Modrá šipka značí viditelnou dráhu meteoru.

static map
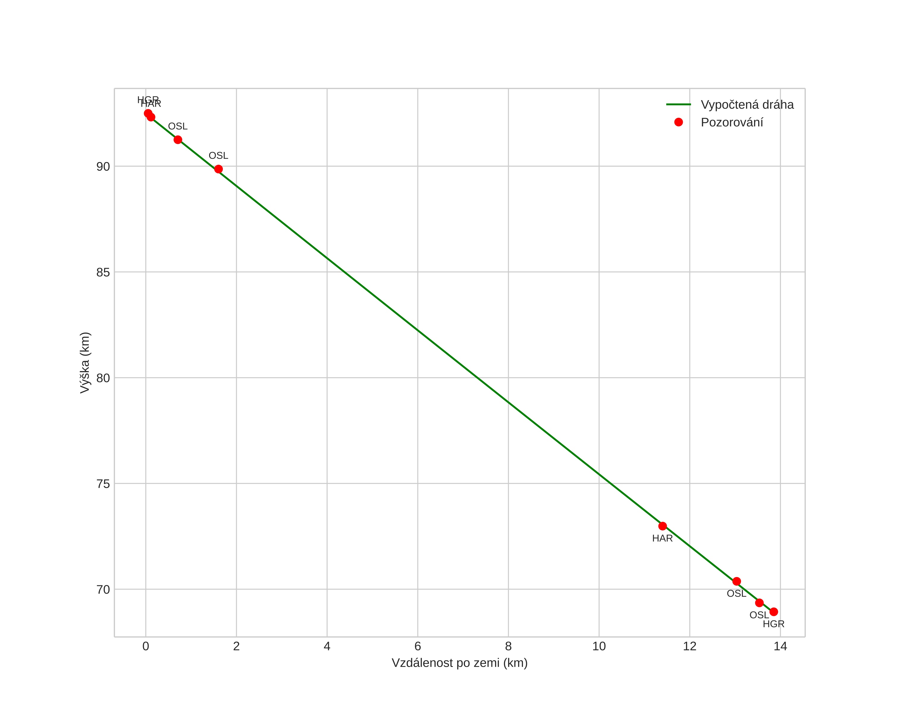
height profile
Atmosférická dráha meteoru:
Počáteční výška: 92,8 km
Konečná výška: 69,6 km
Počáteční poloha: 60,795N 8,954E
Konečná poloha: 60,898N 8,803E
Směr: 324,7°
Sklon: 58,7°
VstupnĂ­ rychlost: 36,8 km/s
Rektascenze radiantu: 07:38 (114,7°)
Deklinace radiantu: 31,9°
MeteorickĂ˝ roj: Geminidy
Elementy dráhy meteoroidu:
Vzdálenost v periheliu: 0,136 AU
Excentricita: 0,904
Sklon dráhy: 24,0°
Délka vzestupného uzlu: 263,2°
Argument perihelia: 324,7°
Střední anomálie: 338,4°
Epocha: 2024 DEC 15 00:05:36
orbit plot

NeinteraktivnĂ­ graf | InteraktivnĂ­ graf

position vs time
speed and acceleration