🇳🇴 🇬🇧 🇩🇪 🇨🇿 🇫🇮

Meteor, poloha: Kviteseid 2024-12-15 00:09:52 UTC

Soubor KML  |  InteraktivnĂ­ mapa

Mapa zobrazuje dráhy meteoru. Světlejší čáry ukazují směry od pozorovacích stanic při objevení se meteoru a tmavší čáry, kde byl naposledy viděn. Modrá šipka značí viditelnou dráhu meteoru.

static map
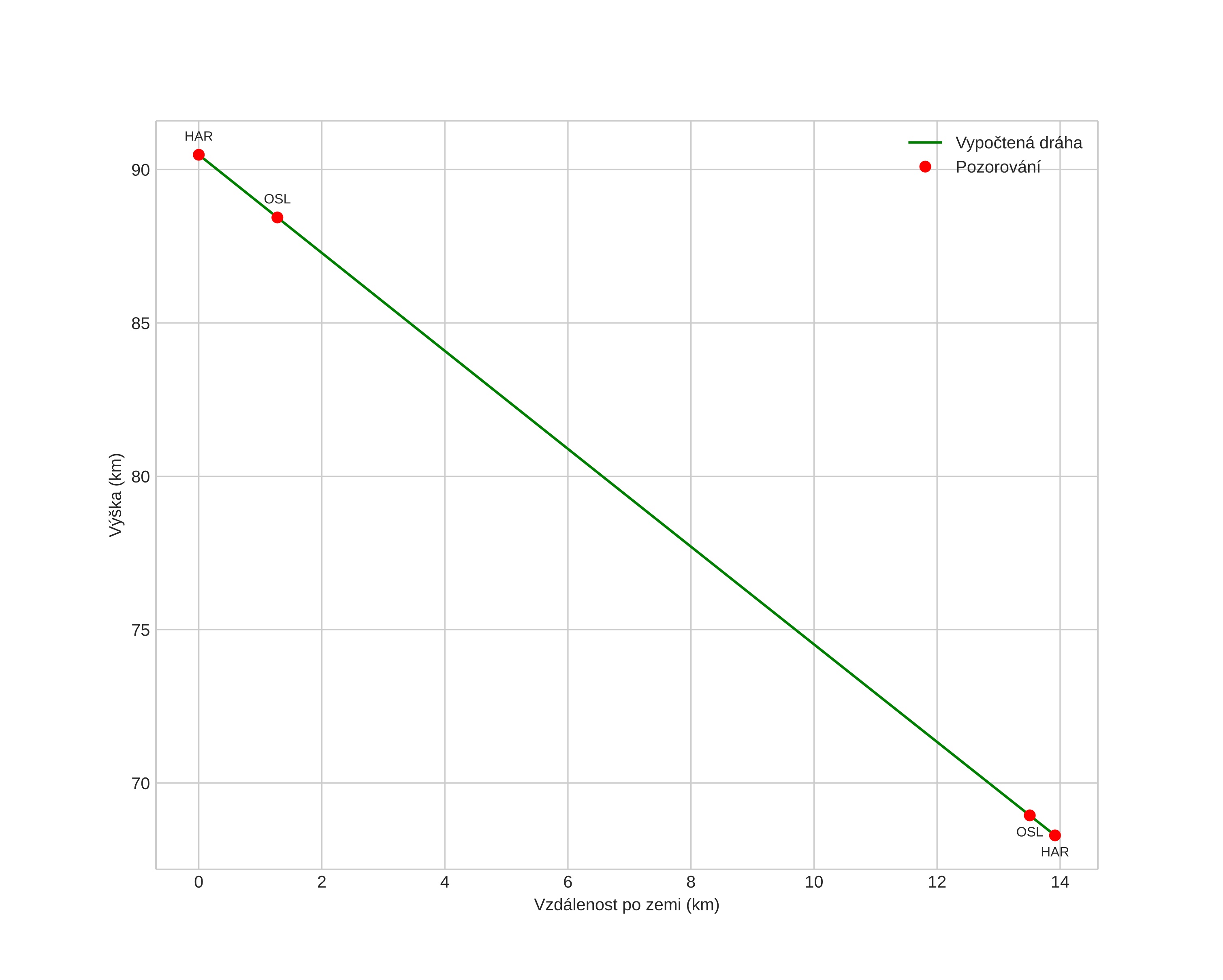
height profile
Atmosférická dráha meteoru:
Počáteční výška: 91,2 km
Konečná výška: 68,5 km
Počáteční poloha: 59,307N 8,653E
Konečná poloha: 59,392N 8,482E
Směr: 314,2°
Sklon: 59,2°
VstupnĂ­ rychlost: 34,3 km/s
Rektascenze radiantu: 08:03 (121,0°)
Deklinace radiantu: 33,0°
MeteorickĂ˝ roj: Geminidy
Elementy dráhy meteoroidu:
Vzdálenost v periheliu: 0,126 AU
Excentricita: 0,875
Sklon dráhy: 28,0°
Délka vzestupného uzlu: 263,2°
Argument perihelia: 330,1°
Střední anomálie: 322,1°
Epocha: 2024 DEC 15 00:09:52
orbit plot

NeinteraktivnĂ­ graf | InteraktivnĂ­ graf

position vs time
speed and acceleration