🇳🇴 🇬🇧 🇩🇪 🇨🇿 🇫🇮

Meteor, poloha: Innbygda 2024-12-15 00:12:15 UTC

Soubor KML  |  InteraktivnĂ­ mapa

Mapa zobrazuje dráhy meteoru. Světlejší čáry ukazují směry od pozorovacích stanic při objevení se meteoru a tmavší čáry, kde byl naposledy viděn. Modrá šipka značí viditelnou dráhu meteoru.

static map
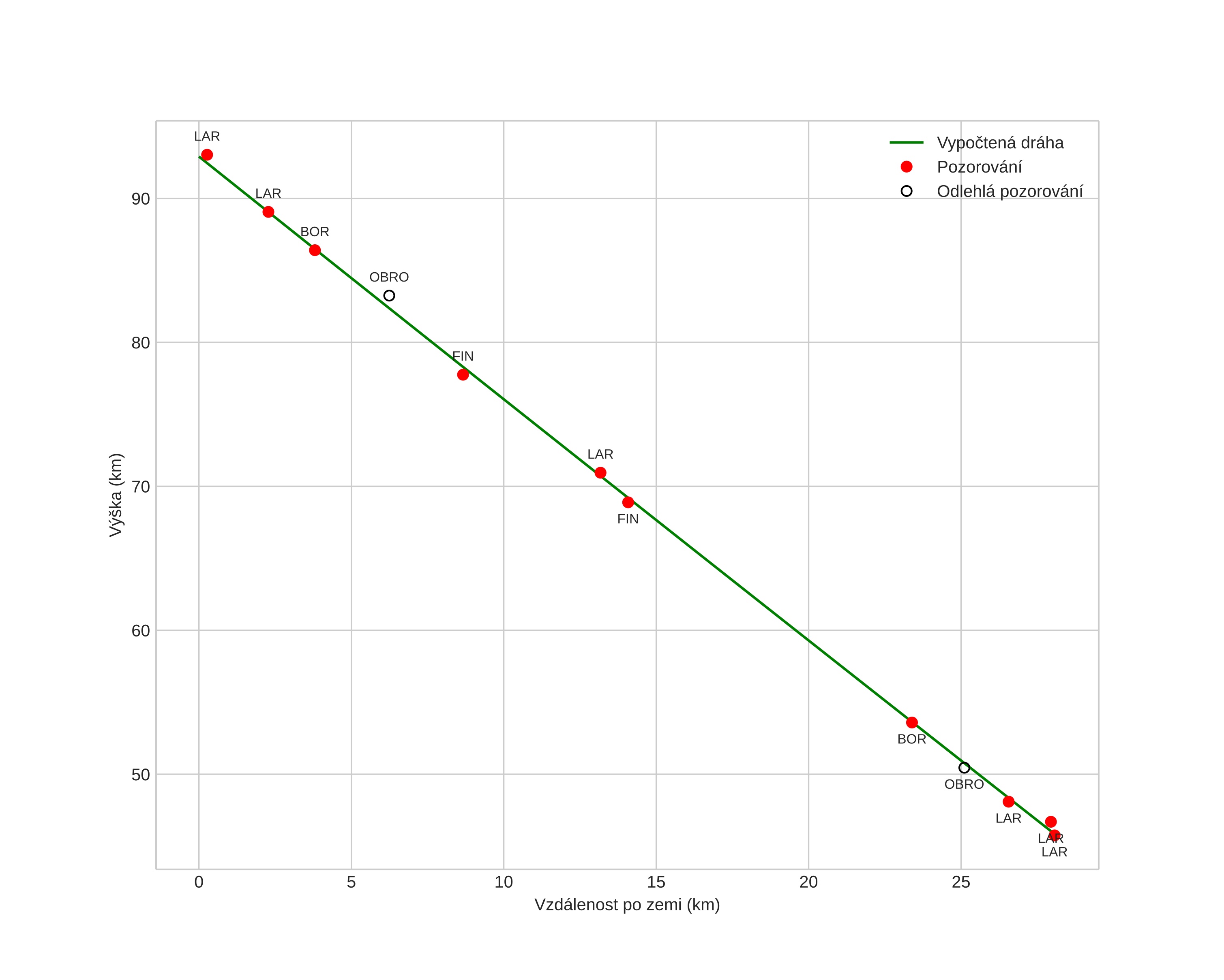
height profile
Atmosférická dráha meteoru:
Počáteční výška: 93,1 km
Konečná výška: 44,0 km
Počáteční poloha: 61,581N 13,359E
Konečná poloha: 61,819N 13,129E
Směr: 335,6°
Sklon: 59,3°
VstupnĂ­ rychlost: 38,3 km/s
Rektascenze radiantu: 07:37 (114,3°)
Deklinace radiantu: 31,6°
MeteorickĂ˝ roj: Geminidy
Elementy dráhy meteoroidu:
Vzdálenost v periheliu: 0,126 AU
Excentricita: 0,922
Sklon dráhy: 25,2°
Délka vzestupného uzlu: 263,2°
Argument perihelia: 324,9°
Střední anomálie: 343,0°
Epocha: 2024 DEC 15 00:12:15
orbit plot

NeinteraktivnĂ­ graf | InteraktivnĂ­ graf

position vs time
speed and acceleration