🇳🇴 🇬🇧 🇩🇪 🇨🇿 🇫🇮

Meteor, poloha: Aurlandsvangen 2024-12-15 00:34:21 UTC

Soubor KML  |  InteraktivnĂ­ mapa

Mapa zobrazuje dráhy meteoru. Světlejší čáry ukazují směry od pozorovacích stanic při objevení se meteoru a tmavší čáry, kde byl naposledy viděn. Modrá šipka značí viditelnou dráhu meteoru.

static map
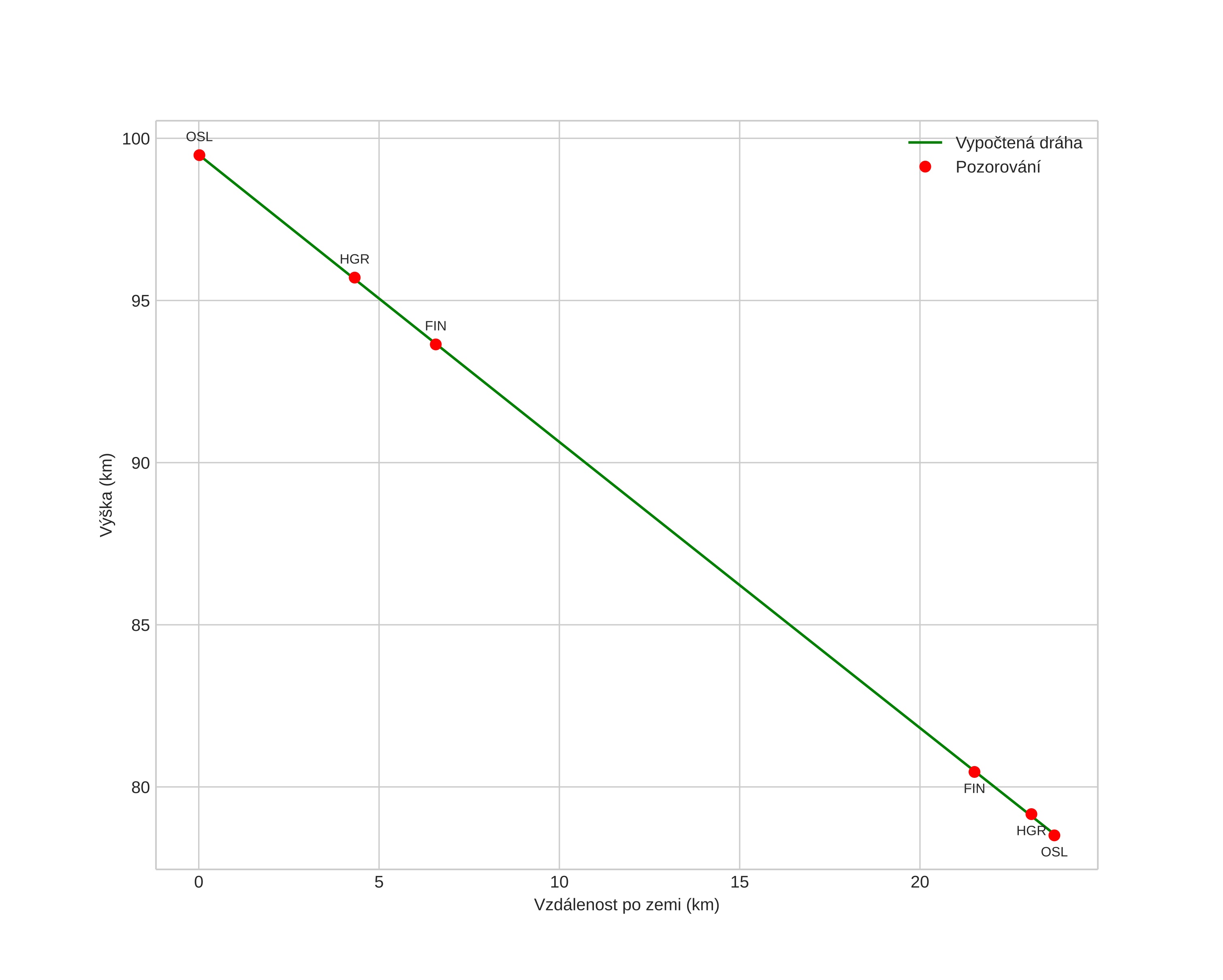
height profile
Atmosférická dráha meteoru:
Počáteční výška: 100,3 km
Konečná výška: 78,4 km
Počáteční poloha: 60,801N 7,274E
Konečná poloha: 61,021N 7,213E
Směr: 352,3°
Sklon: 41,6°
VstupnĂ­ rychlost: 44,8 km/s
Rektascenze radiantu: 07:00 (105,2°)
Deklinace radiantu: 11,8°
MeteorickĂ˝ roj: Monocerotidy
Elementy dráhy meteoroidu:
Vzdálenost v periheliu: 0,147 AU
Excentricita: 1,007
Sklon dráhy: 29,8°
Délka vzestupného uzlu: 83,2°
Argument perihelia: 134,0°
Střední anomálie: -0,3°
Epocha: 2024 DEC 15 00:34:21
orbit plot

NeinteraktivnĂ­ graf | InteraktivnĂ­ graf

position vs time
speed and acceleration

Hagar (HGR) cam1


gnomonic
Videa
• Gnomonická
• Gnomonická se souřadnicemi
• Původní
• Původní se souřadnicemi
Obrázky
• Gnomonická
• Gnomonická se souřadnicemi
• Gnomonická s popisky
• Původní
• Původní se souřadnicemi
Textové soubory
• Detekce
• Pozorování
• Souřadnice
• Protokol
Jasnost