🇳🇴 🇬🇧 🇩🇪 🇨🇿 🇫🇮

Meteor, poloha: Malung 2024-12-15 03:40:43 UTC

Soubor KML  |  InteraktivnĂ­ mapa

Mapa zobrazuje dráhy meteoru. Světlejší čáry ukazují směry od pozorovacích stanic při objevení se meteoru a tmavší čáry, kde byl naposledy viděn. Modrá šipka značí viditelnou dráhu meteoru.

static map
height profile
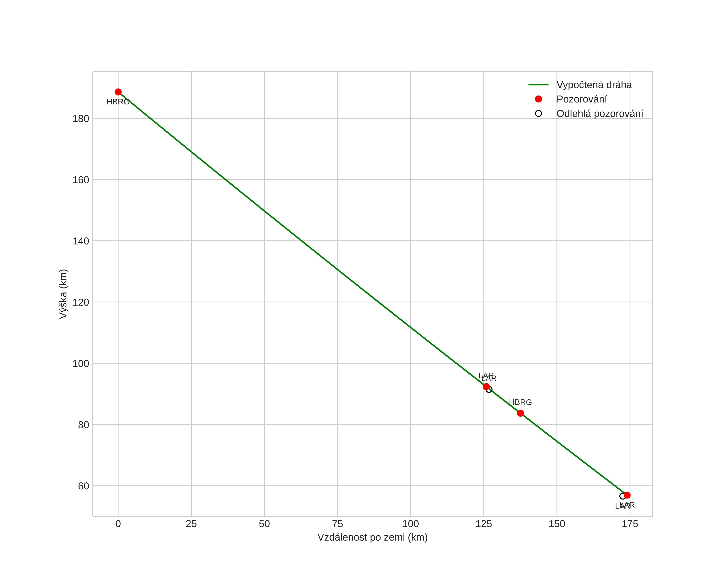
Atmosférická dráha meteoru:
Počáteční výška: 183,9 km
Konečná výška: 57,1 km
Počáteční poloha: 60,229N 10,424E
Konečná poloha: 60,713N 13,339E
Směr: 70,1°
Sklon: 36,9°
VstupnĂ­ rychlost: 31,3 km/s
Rektascenze radiantu: 06:14 (93,6°)
Deklinace radiantu: 20,9°
MeteorickĂ˝ roj: sporadickĂ˝
Elementy dráhy meteoroidu:
Vzdálenost v periheliu: 0,369 AU
Excentricita: 0,867
Sklon dráhy: 2,9°
Délka vzestupného uzlu: 83,4°
Argument perihelia: 110,2°
Střední anomálie: 351,2°
Epocha: 2024 DEC 15 03:40:43
orbit plot

NeinteraktivnĂ­ graf | InteraktivnĂ­ graf

position vs time
speed and acceleration