🇳🇴 🇬🇧 🇩🇪 🇨🇿 🇫🇮

Meteor, poloha: Årjäng 2024-12-16 18:46:17 UTC

Soubor KML  |  InteraktivnĂ­ mapa

Mapa zobrazuje dráhy meteoru. Světlejší čáry ukazují směry od pozorovacích stanic při objevení se meteoru a tmavší čáry, kde byl naposledy viděn. Modrá šipka značí viditelnou dráhu meteoru.

static map
height profile
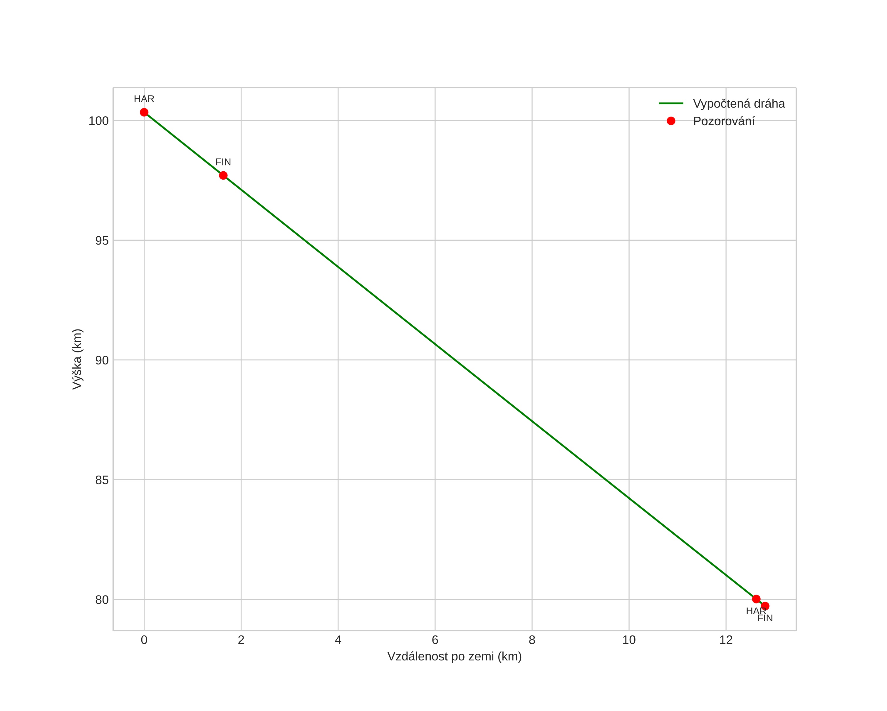
Atmosférická dráha meteoru:
Počáteční výška: 99,7 km
Konečná výška: 79,6 km
Počáteční poloha: 59,496N 11,929E
Konečná poloha: 59,398N 11,999E
Směr: 160,1°
Sklon: 60,0°
VstupnĂ­ rychlost: 30,2 km/s
Rektascenze radiantu: 19:41 (295,4°)
Deklinace radiantu: 79,3°
MeteorickĂ˝ roj: sporadickĂ˝
Elementy dráhy meteoroidu:
Vzdálenost v periheliu: 0,958 AU
Excentricita: 1,003
Sklon dráhy: 40,5°
Délka vzestupného uzlu: 265,0°
Argument perihelia: 198,8°
Střední anomálie: -0,0°
Epocha: 2024 DEC 16 18:46:17
orbit plot

NeinteraktivnĂ­ graf | InteraktivnĂ­ graf

position vs time
speed and acceleration