🇳🇴 🇬🇧 🇩🇪 🇨🇿 🇫🇮

Meteor, poloha: VĂĄler 2024-12-16 23:58:08 UTC

Soubor KML  |  InteraktivnĂ­ mapa

Mapa zobrazuje dráhy meteoru. Světlejší čáry ukazují směry od pozorovacích stanic při objevení se meteoru a tmavší čáry, kde byl naposledy viděn. Modrá šipka značí viditelnou dráhu meteoru.

static map
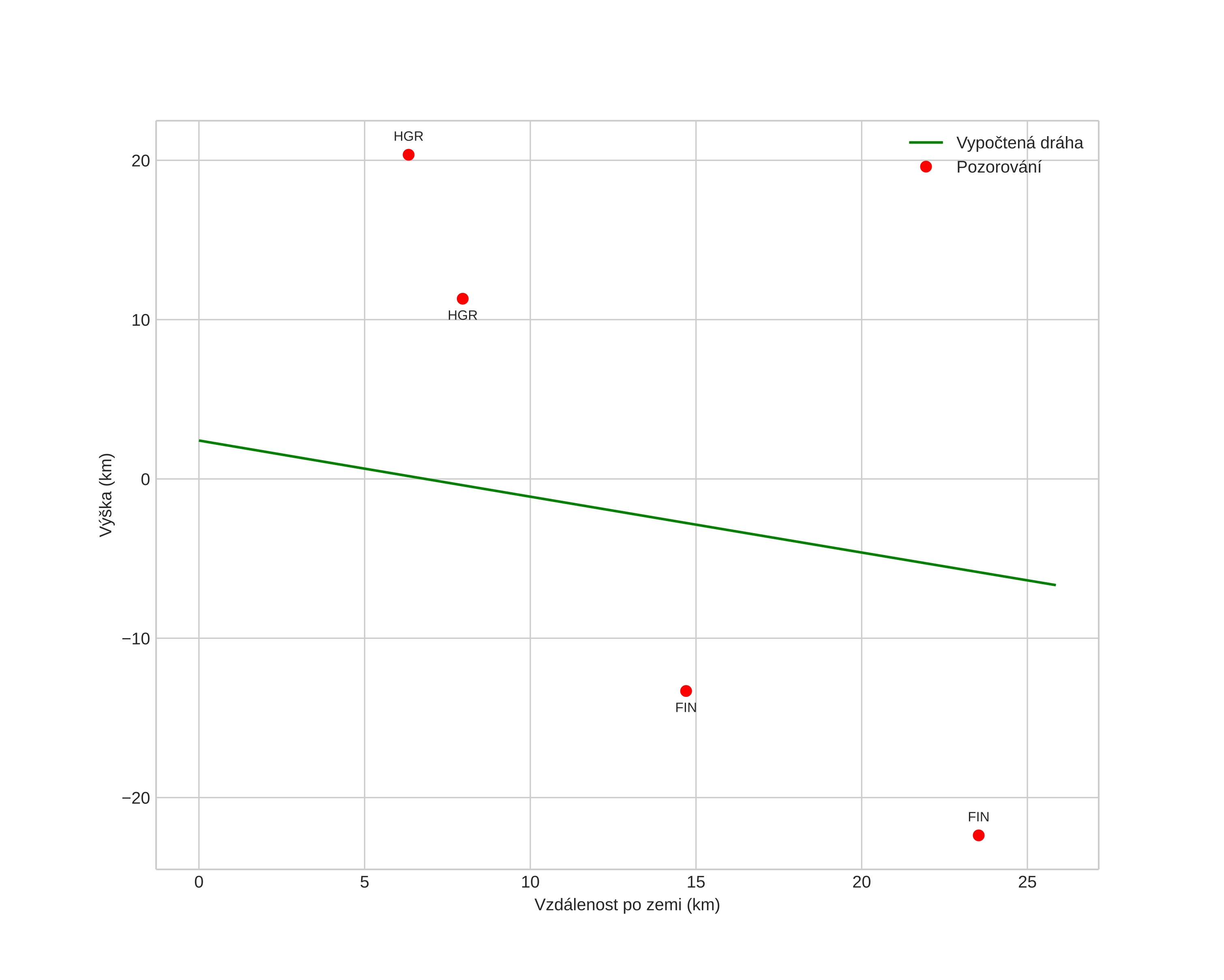
height profile
Atmosférická dráha meteoru:
Počáteční výška: 4,3 km
Konečná výška: -10,5 km
Počáteční poloha: 60,410N 12,104E
Konečná poloha: 60,679N 11,918E
Směr: 341,3°
Sklon: 25,1°
orbit plot
position vs time
speed and acceleration