🇳🇴 🇬🇧 🇩🇪 🇨🇿 🇫🇮

Meteor, poloha: Sortland 2024-12-18 19:58:08 UTC

Soubor KML  |  InteraktivnĂ­ mapa

Mapa zobrazuje dráhy meteoru. Světlejší čáry ukazují směry od pozorovacích stanic při objevení se meteoru a tmavší čáry, kde byl naposledy viděn. Modrá šipka značí viditelnou dráhu meteoru.

static map
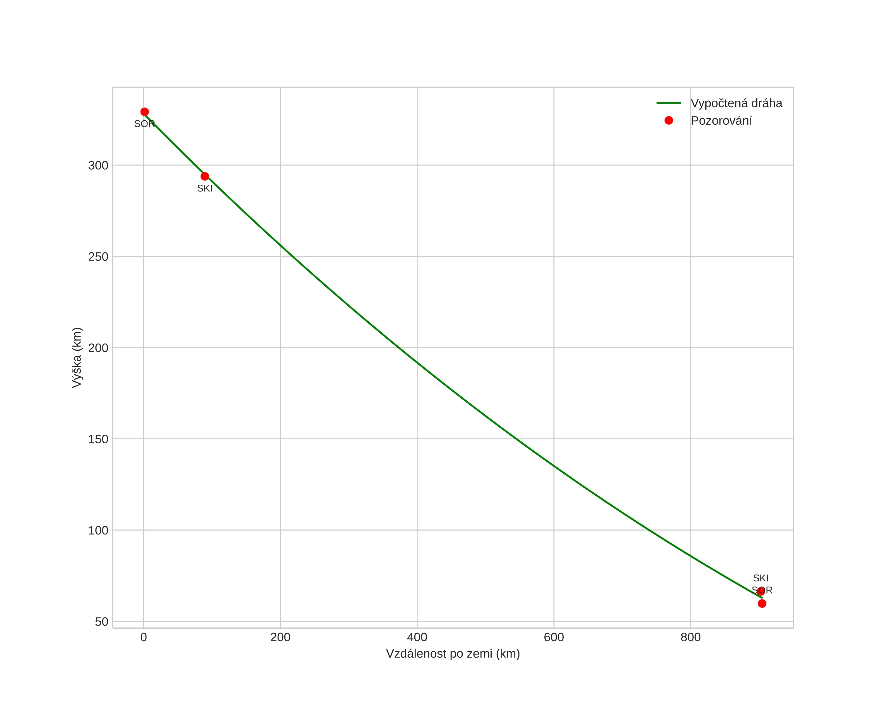
height profile
Atmosférická dráha meteoru:
Počáteční výška: 324,2 km
Konečná výška: 62,9 km
Počáteční poloha: 64,830N -2,725E
Konečná poloha: 68,553N 15,454E
Směr: 54,5°
Sklon: 16,3°
VstupnĂ­ rychlost: 12,1 km/s
Rektascenze radiantu: 21:22 (320,5°)
Deklinace radiantu: -28,1°
MeteorickĂ˝ roj: sporadickĂ˝
Elementy dráhy meteoroidu:
Vzdálenost v periheliu: 0,962 AU
Excentricita: 0,338
Sklon dráhy: 2,0°
Délka vzestupného uzlu: 87,2°
Argument perihelia: 335,6°
Střední anomálie: 11,5°
Epocha: 2024 DEC 18 19:58:08
orbit plot

NeinteraktivnĂ­ graf | InteraktivnĂ­ graf

position vs time
speed and acceleration

Skibotn (SKI) cam5

gnomonic
Videa
Obrázky
• Původní
Textové soubory
• Detekce
• Pozorování
• Souřadnice
• Protokol
Jasnost