🇳🇴 🇬🇧 🇩🇪 🇨🇿 🇫🇮

Meteor Narvikin yllä 2024-12-19 00:28:52 UTC

KML-tiedosto  |  Interaktiivinen kartta

Kartta näyttää meteorin suuntahavainnot. Vaaleammat viivat näyttävät suunnat havaintoasemilta meteorin ilmestyessä, ja tummemmat viivat näyttävät, missä se viimeksi nähtiin. Sininen nuoli näyttää meteorin näkyvän lennon.

static map
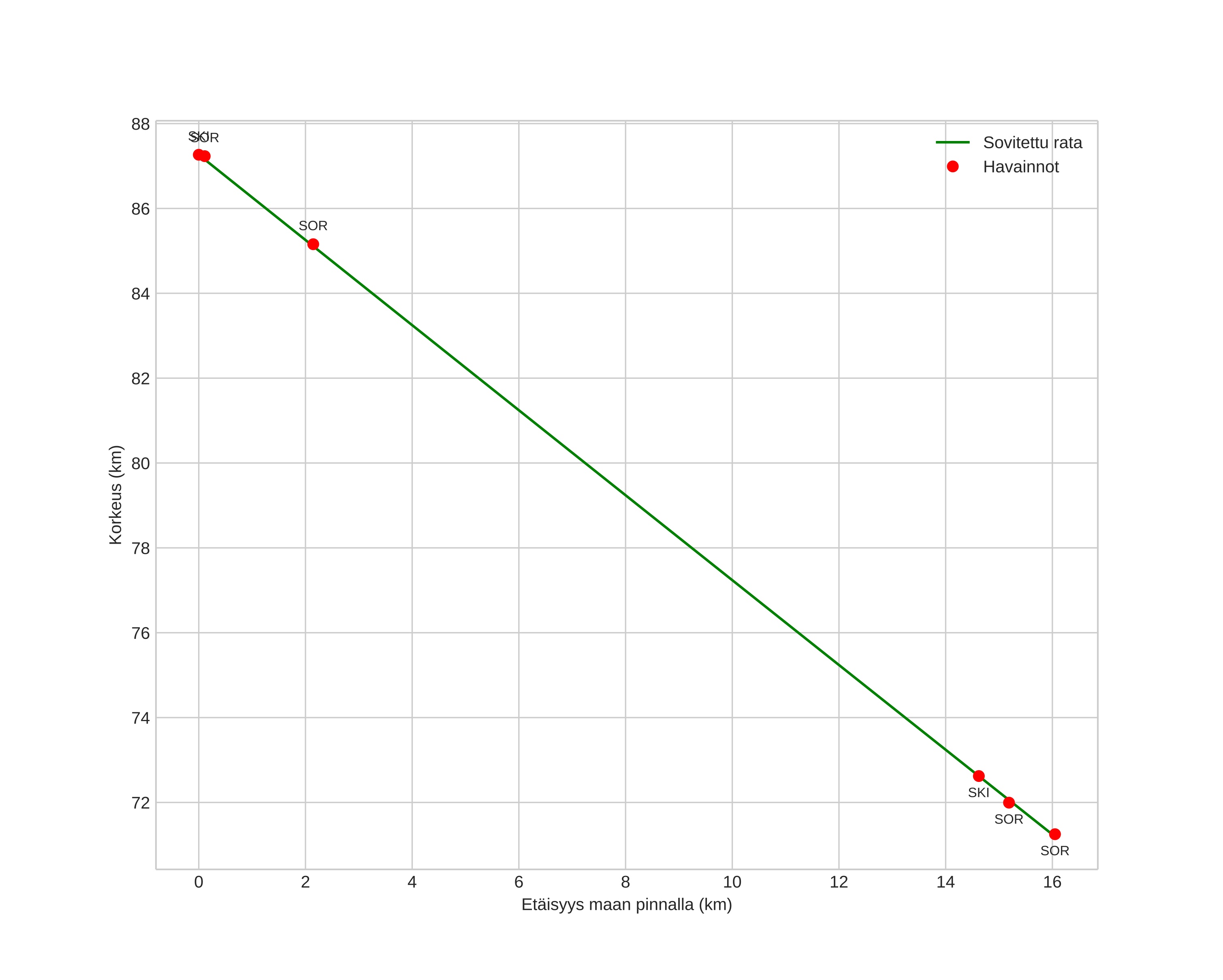
height profile
Meteorin ilmakehärata:
Alkukorkeus: 87,3 km
Loppukorkeus: 71,2 km
Alkupiste: 67,507N 17,415E
Loppupiste: 67,363N 17,439E
Suunta: 176,3°
Kallistuskulma: 45,1°
Tulonopeus: 21,6 km/s
Radiantin R,A,: 20:00 (300,0°)
Radiantin Dekl,: 63,8°
Meteoriparvi: Sporadinen
Meteoroidin rataelementit:
Perihelietäisyys: 0,984 AU
Eksentrisyys: 0,672
Inklinaatio: 27,8°
Nousevan solmun pituus: 267,2°
Perihelin argumentti: 181,7°
Keskianomalia: 359,8°
Epookki: 2024 DEC 19 00:28:52
orbit plot

Ei-interaktiivinen kuvaaja | Interaktiivinen kuvaaja

position vs time
speed and acceleration

Skibotn (SKI) cam4

gnomonic
Videot:
Kuvat:
• Alkuperäinen
Tekstitiedostot:
• Havaintoraportti
• Observaatio
• Koordinaatit
• Loki
Kirkkaus