🇳🇴 🇬🇧 🇩🇪 🇨🇿 🇫🇮

Meteor, poloha: Innbygda 2024-12-20 03:38:32 UTC

Soubor KML  |  InteraktivnĂ­ mapa

Mapa zobrazuje dráhy meteoru. Světlejší čáry ukazují směry od pozorovacích stanic při objevení se meteoru a tmavší čáry, kde byl naposledy viděn. Modrá šipka značí viditelnou dráhu meteoru.

static map
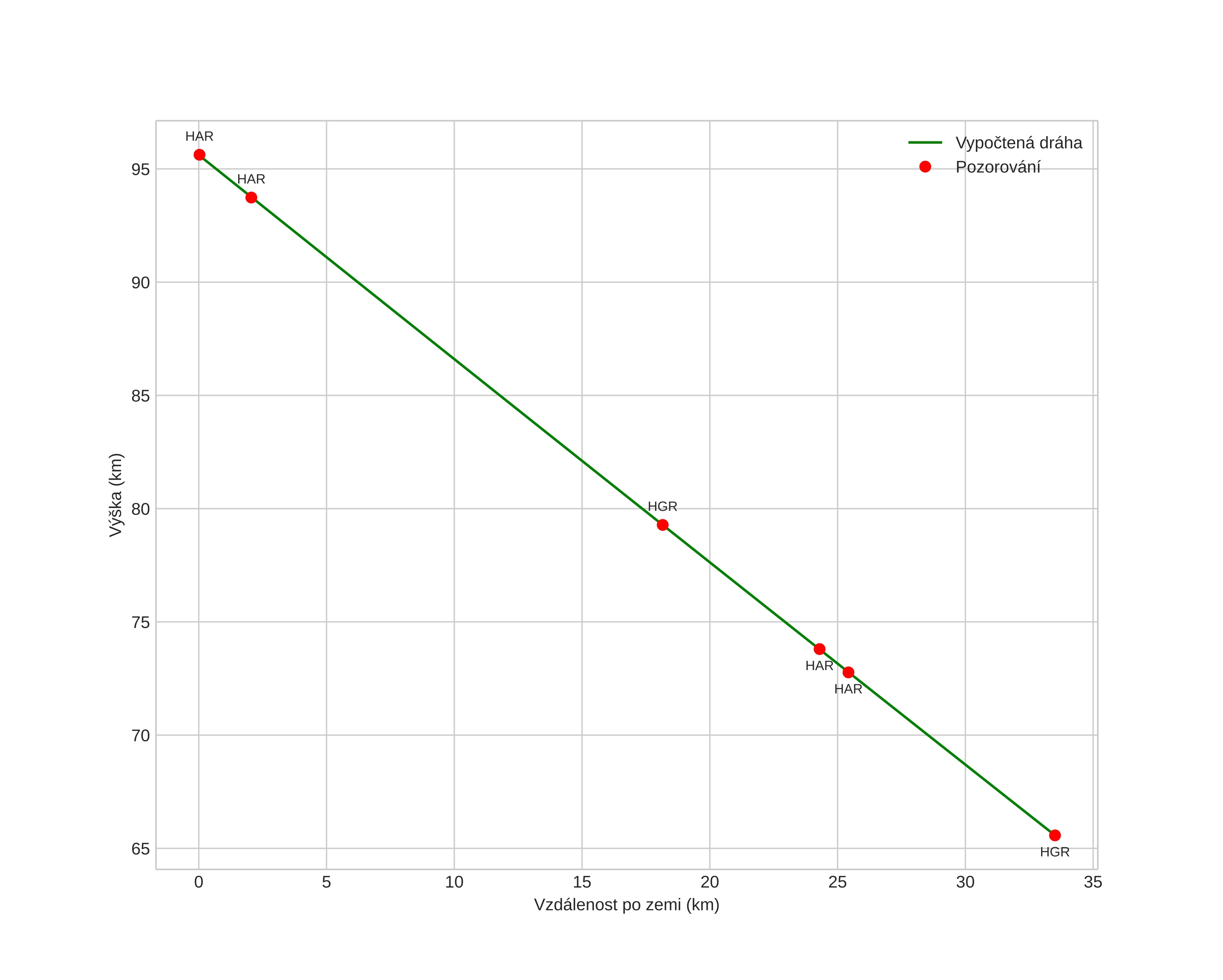
height profile
Atmosférická dráha meteoru:
Počáteční výška: 95,5 km
Konečná výška: 66,7 km
Počáteční poloha: 60,861N 11,878E
Konečná poloha: 60,910N 12,522E
Směr: 80,7°
Sklon: 39,2°
VstupnĂ­ rychlost: 26,6 km/s
Rektascenze radiantu: 06:08 (92,1°)
Deklinace radiantu: 27,0°
MeteorickĂ˝ roj: sporadickĂ˝
Elementy dráhy meteoroidu:
Vzdálenost v periheliu: 0,509 AU
Excentricita: 0,784
Sklon dráhy: 3,0°
Délka vzestupného uzlu: 268,3°
Argument perihelia: 275,8°
Střední anomálie: 348,1°
Epocha: 2024 DEC 20 03:38:32
orbit plot

NeinteraktivnĂ­ graf | InteraktivnĂ­ graf

position vs time
speed and acceleration