🇳🇴 🇬🇧 🇩🇪 🇨🇿 🇫🇮

Meteor, poloha: Lidköping 2024-12-20 16:27:11 UTC

Soubor KML  |  InteraktivnĂ­ mapa

Mapa zobrazuje dráhy meteoru. Světlejší čáry ukazují směry od pozorovacích stanic při objevení se meteoru a tmavší čáry, kde byl naposledy viděn. Modrá šipka značí viditelnou dráhu meteoru.

static map
height profile
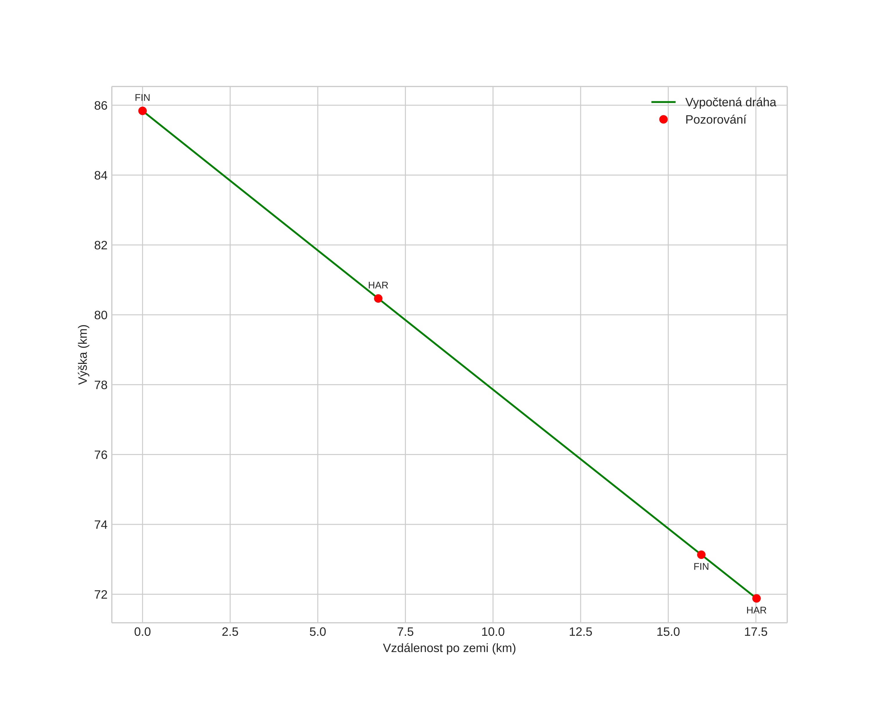
Atmosférická dráha meteoru:
Počáteční výška: 88,2 km
Konečná výška: 72,6 km
Počáteční poloha: 58,843N 13,316E
Konečná poloha: 58,797N 12,993E
Směr: 254,5°
Sklon: 39,0°
VstupnĂ­ rychlost: 21,5 km/s
Rektascenze radiantu: 04:45 (71,5°)
Deklinace radiantu: 37,3°
MeteorickĂ˝ roj: sporadickĂ˝
Elementy dráhy meteoroidu:
Vzdálenost v periheliu: 0,758 AU
Excentricita: 0,749
Sklon dráhy: 7,7°
Délka vzestupného uzlu: 268,9°
Argument perihelia: 242,4°
Střední anomálie: 352,9°
Epocha: 2024 DEC 20 16:27:11
orbit plot

NeinteraktivnĂ­ graf | InteraktivnĂ­ graf

position vs time
speed and acceleration