🇳🇴 🇬🇧 🇩🇪 🇨🇿 🇫🇮

Meteor, poloha: Rollag 2024-12-20 17:55:54 UTC

Soubor KML  |  InteraktivnĂ­ mapa

Mapa zobrazuje dráhy meteoru. Světlejší čáry ukazují směry od pozorovacích stanic při objevení se meteoru a tmavší čáry, kde byl naposledy viděn. Modrá šipka značí viditelnou dráhu meteoru.

static map
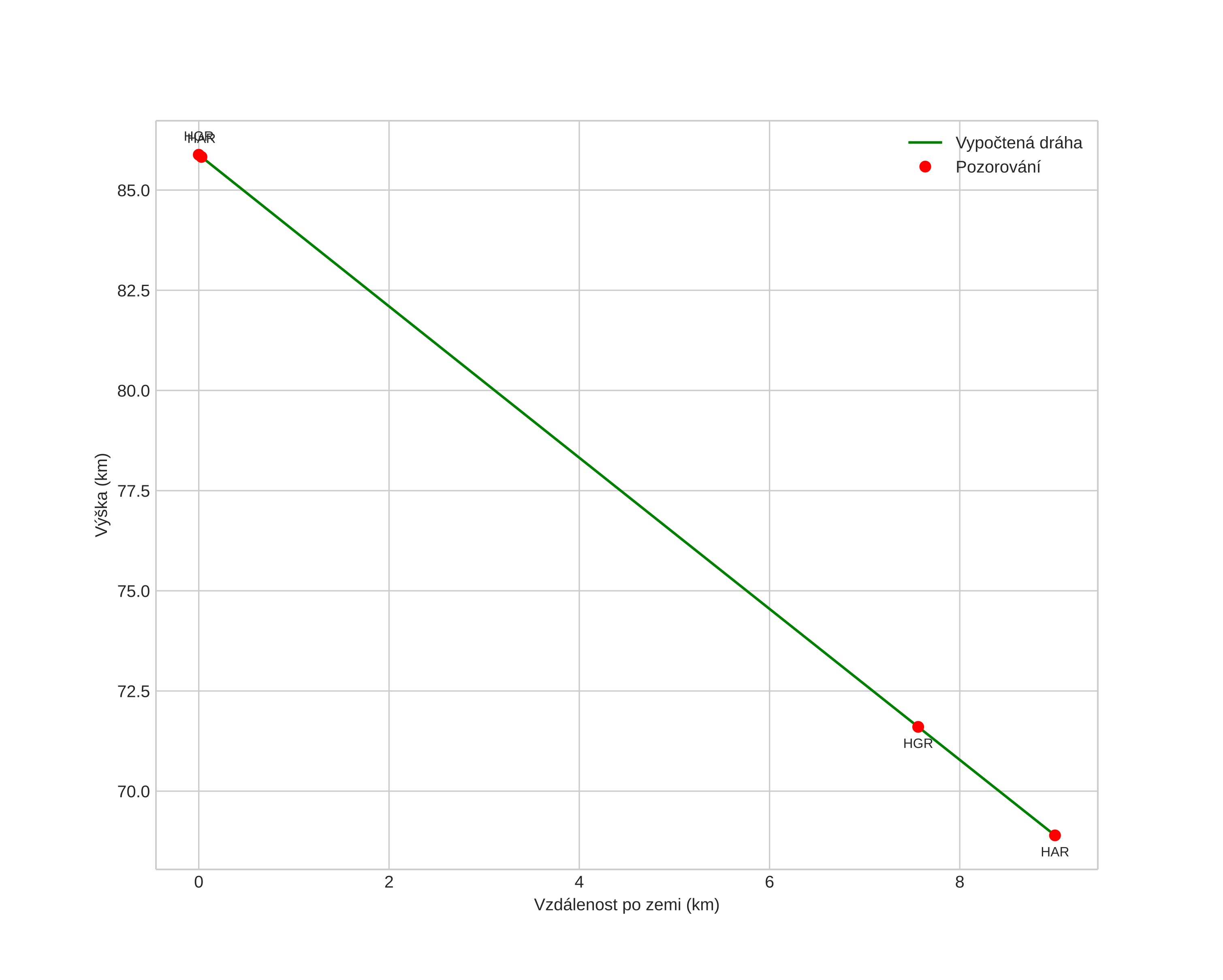
height profile
Atmosférická dráha meteoru:
Počáteční výška: 87,2 km
Konečná výška: 68,6 km
Počáteční poloha: 60,051N 9,203E
Konečná poloha: 59,990N 9,333E
Směr: 132,7°
Sklon: 62,0°
VstupnĂ­ rychlost: 21,4 km/s
Rektascenze radiantu: 19:50 (297,6°)
Deklinace radiantu: 66,1°
MeteorickĂ˝ roj: sporadickĂ˝
Elementy dráhy meteoroidu:
Vzdálenost v periheliu: 0,983 AU
Excentricita: 0,620
Sklon dráhy: 28,1°
Délka vzestupného uzlu: 269,0°
Argument perihelia: 183,1°
Střední anomálie: 359,4°
Epocha: 2024 DEC 20 17:55:54
orbit plot

NeinteraktivnĂ­ graf | InteraktivnĂ­ graf

position vs time
speed and acceleration