🇳🇴 🇬🇧 🇩🇪 🇨🇿 🇫🇮

Meteor, poloha: Rollag 2024-12-20 17:55:55 UTC

Soubor KML  |  InteraktivnĂ­ mapa

Mapa zobrazuje dráhy meteoru. Světlejší čáry ukazují směry od pozorovacích stanic při objevení se meteoru a tmavší čáry, kde byl naposledy viděn. Modrá šipka značí viditelnou dráhu meteoru.

static map
height profile
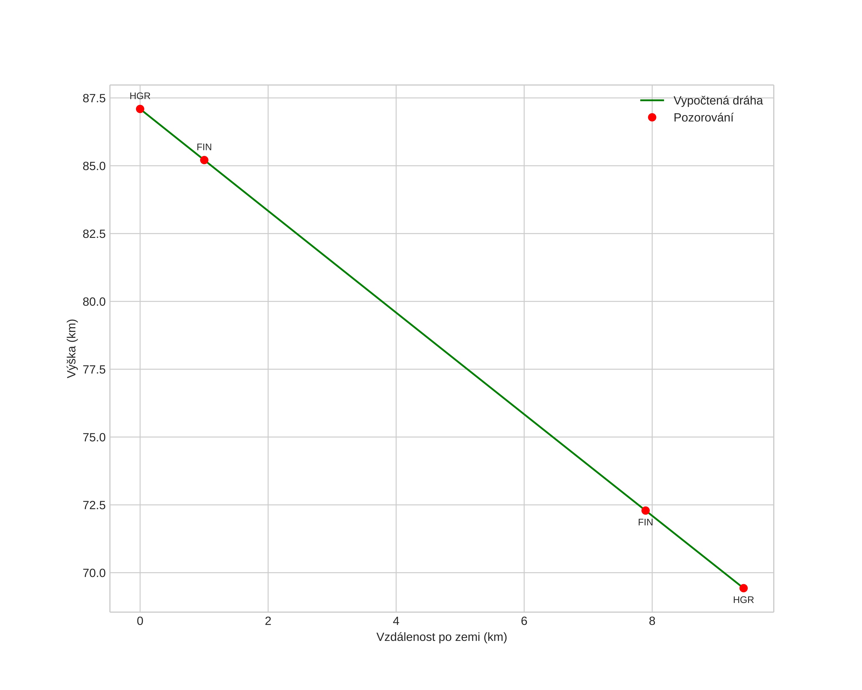
Atmosférická dráha meteoru:
Počáteční výška: 87,3 km
Konečná výška: 69,2 km
Počáteční poloha: 60,042N 9,191E
Konečná poloha: 59,989N 9,324E
Směr: 128,5°
Sklon: 62,5°
VstupnĂ­ rychlost: 24,0 km/s
Rektascenze radiantu: 20:07 (302,0°)
Deklinace radiantu: 64,6°
MeteorickĂ˝ roj: sporadickĂ˝
Elementy dráhy meteoroidu:
Vzdálenost v periheliu: 0,983 AU
Excentricita: 0,847
Sklon dráhy: 30,6°
Délka vzestupného uzlu: 269,0°
Argument perihelia: 182,2°
Střední anomálie: 359,9°
Epocha: 2024 DEC 20 17:55:55
orbit plot

NeinteraktivnĂ­ graf | InteraktivnĂ­ graf

position vs time
speed and acceleration