🇳🇴 🇬🇧 🇩🇪 🇨🇿 🇫🇮

Meteor, poloha: Valle 2024-12-22 02:11:40 UTC

Soubor KML  |  InteraktivnĂ­ mapa

Mapa zobrazuje dráhy meteoru. Světlejší čáry ukazují směry od pozorovacích stanic při objevení se meteoru a tmavší čáry, kde byl naposledy viděn. Modrá šipka značí viditelnou dráhu meteoru.

static map
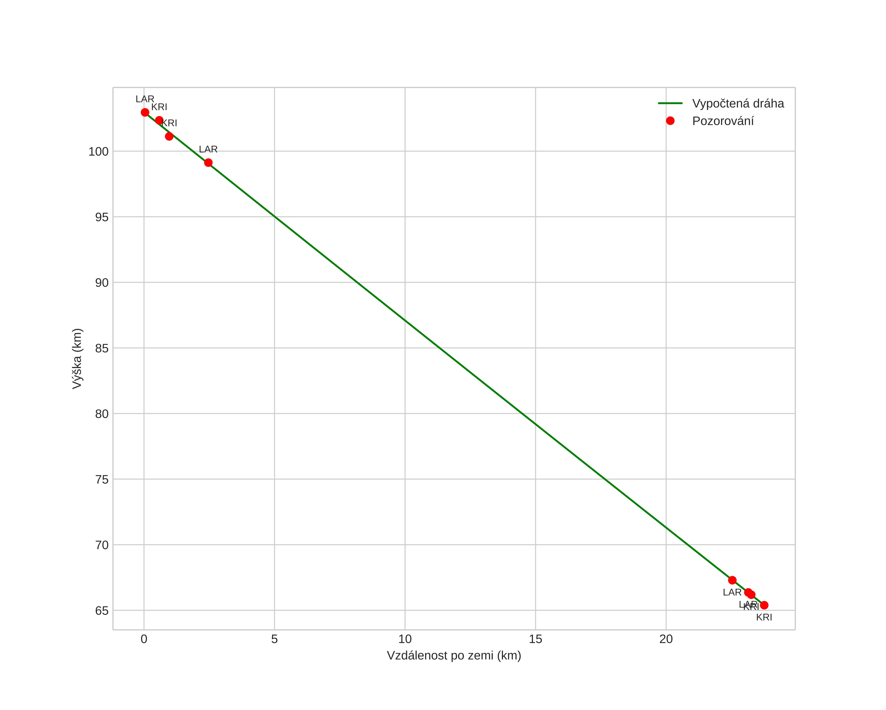
height profile
Atmosférická dráha meteoru:
Počáteční výška: 106,6 km
Konečná výška: 65,7 km
Počáteční poloha: 59,269N 7,294E
Konečná poloha: 59,063N 7,085E
Směr: 207,5°
Sklon: 57,8°
VstupnĂ­ rychlost: 34,9 km/s
Rektascenze radiantu: 14:32 (218,1°)
Deklinace radiantu: 75,8°
MeteorickĂ˝ roj: Ursidy
Elementy dráhy meteoroidu:
Vzdálenost v periheliu: 0,937 AU
Excentricita: 0,815
Sklon dráhy: 52,7°
Délka vzestupného uzlu: 270,4°
Argument perihelia: 206,5°
Střední anomálie: 358,4°
Epocha: 2024 DEC 22 02:11:40
orbit plot

NeinteraktivnĂ­ graf | InteraktivnĂ­ graf

position vs time
speed and acceleration