🇳🇴 🇬🇧 🇩🇪 🇨🇿 🇫🇮

Meteor, poloha: Heggenes 2024-12-23 00:56:06 UTC

Soubor KML  |  InteraktivnĂ­ mapa

Mapa zobrazuje dráhy meteoru. Světlejší čáry ukazují směry od pozorovacích stanic při objevení se meteoru a tmavší čáry, kde byl naposledy viděn. Modrá šipka značí viditelnou dráhu meteoru.

static map
height profile
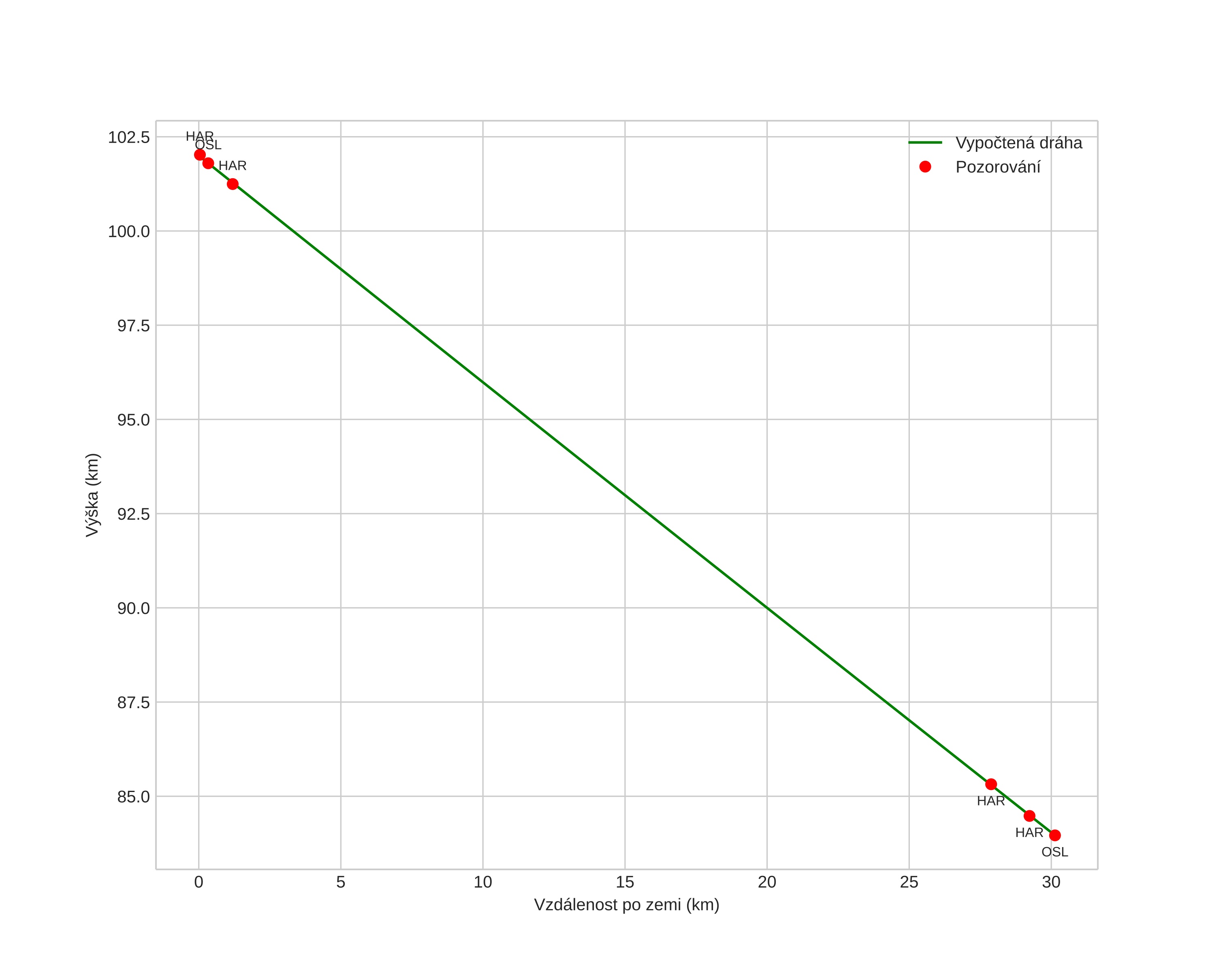
Atmosférická dráha meteoru:
Počáteční výška: 104,2 km
Konečná výška: 83,7 km
Počáteční poloha: 61,174N 8,909E
Konečná poloha: 61,448N 8,940E
Směr: 3,1°
Sklon: 34,0°
VstupnĂ­ rychlost: 45,9 km/s
Rektascenze radiantu: 07:26 (111,7°)
Deklinace radiantu: 4,3°
MeteorickĂ˝ roj: sporadickĂ˝
Elementy dráhy meteoroidu:
Vzdálenost v periheliu: 0,212 AU
Excentricita: 1,039
Sklon dráhy: 42,2°
Délka vzestupného uzlu: 91,3°
Argument perihelia: 122,7°
Střední anomálie: -2,5°
Epocha: 2024 DEC 23 00:56:06
orbit plot

NeinteraktivnĂ­ graf | InteraktivnĂ­ graf

position vs time
speed and acceleration