🇳🇴 🇬🇧 🇩🇪 🇨🇿 🇫🇮

Meteor, poloha: Tjøme 2024-12-23 05:42:52 UTC

Soubor KML  |  InteraktivnĂ­ mapa

Mapa zobrazuje dráhy meteoru. Světlejší čáry ukazují směry od pozorovacích stanic při objevení se meteoru a tmavší čáry, kde byl naposledy viděn. Modrá šipka značí viditelnou dráhu meteoru.

static map
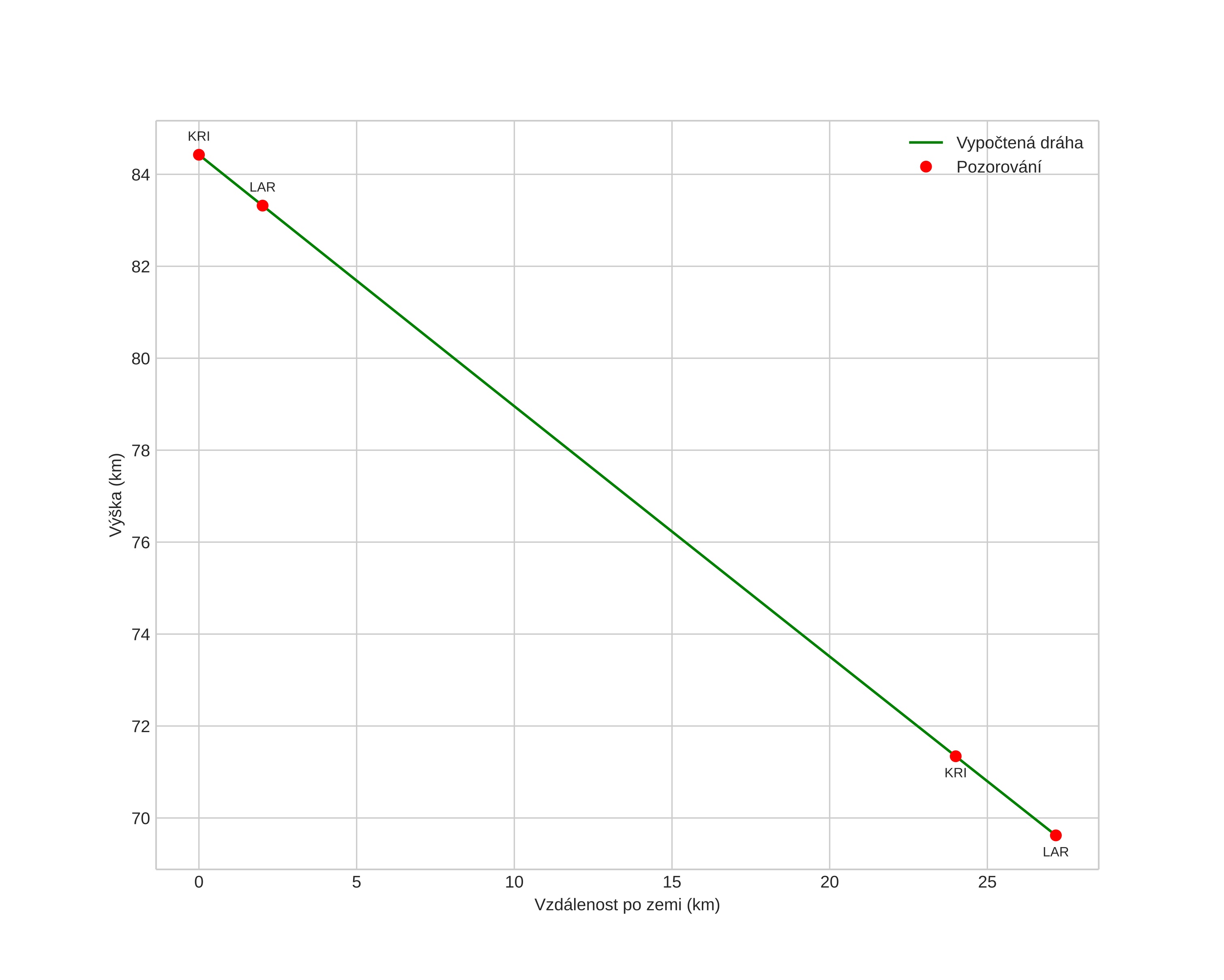
height profile
Atmosférická dráha meteoru:
Počáteční výška: 85,4 km
Konečná výška: 69,6 km
Počáteční poloha: 59,055N 10,047E
Konečná poloha: 59,005N 10,545E
Směr: 100,8°
Sklon: 28,6°
VstupnĂ­ rychlost: 27,3 km/s
Rektascenze radiantu: 06:49 (102,5°)
Deklinace radiantu: 26,9°
MeteorickĂ˝ roj: sporadickĂ˝
Elementy dráhy meteoroidu:
Vzdálenost v periheliu: 0,424 AU
Excentricita: 0,760
Sklon dráhy: 3,8°
Délka vzestupného uzlu: 271,5°
Argument perihelia: 288,6°
Střední anomálie: 341,1°
Epocha: 2024 DEC 23 05:42:52
orbit plot

NeinteraktivnĂ­ graf | InteraktivnĂ­ graf

position vs time
speed and acceleration