🇳🇴 🇬🇧 🇩🇪 🇨🇿 🇫🇮

Meteor, poloha: Mariestad 2024-12-23 16:03:18 UTC

Soubor KML  |  InteraktivnĂ­ mapa

Mapa zobrazuje dráhy meteoru. Světlejší čáry ukazují směry od pozorovacích stanic při objevení se meteoru a tmavší čáry, kde byl naposledy viděn. Modrá šipka značí viditelnou dráhu meteoru.

static map
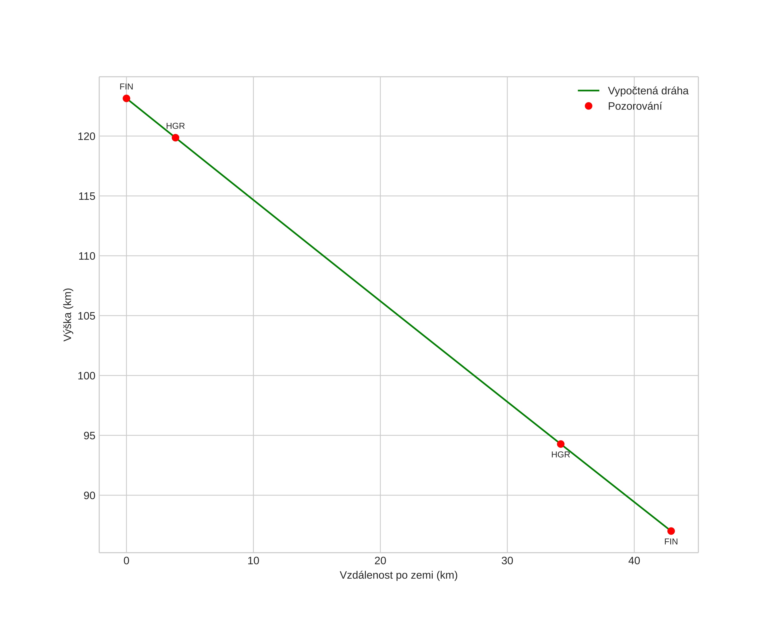
height profile
Atmosférická dráha meteoru:
Počáteční výška: 119,9 km
Konečná výška: 94,2 km
Počáteční poloha: 58,867N 13,262E
Konečná poloha: 58,913N 13,783E
Směr: 80,2°
Sklon: 40,2°
VstupnĂ­ rychlost: 50,0 km/s
Rektascenze radiantu: 19:06 (286,6°)
Deklinace radiantu: 28,3°
MeteorickĂ˝ roj: sporadickĂ˝
Elementy dráhy meteoroidu:
Vzdálenost v periheliu: 0,843 AU
Excentricita: 3,080
Sklon dráhy: 42,2°
Délka vzestupného uzlu: 272,0°
Argument perihelia: 144,1°
Střední anomálie: 59,3°
Epocha: 2024 DEC 23 16:03:18
orbit plot

NeinteraktivnĂ­ graf | InteraktivnĂ­ graf

position vs time
speed and acceleration