🇳🇴 🇬🇧 🇩🇪 🇨🇿 🇫🇮

Meteor, poloha: FlĂĄ 2024-12-23 20:22:23 UTC

Soubor KML  |  InteraktivnĂ­ mapa

Mapa zobrazuje dráhy meteoru. Světlejší čáry ukazují směry od pozorovacích stanic při objevení se meteoru a tmavší čáry, kde byl naposledy viděn. Modrá šipka značí viditelnou dráhu meteoru.

static map
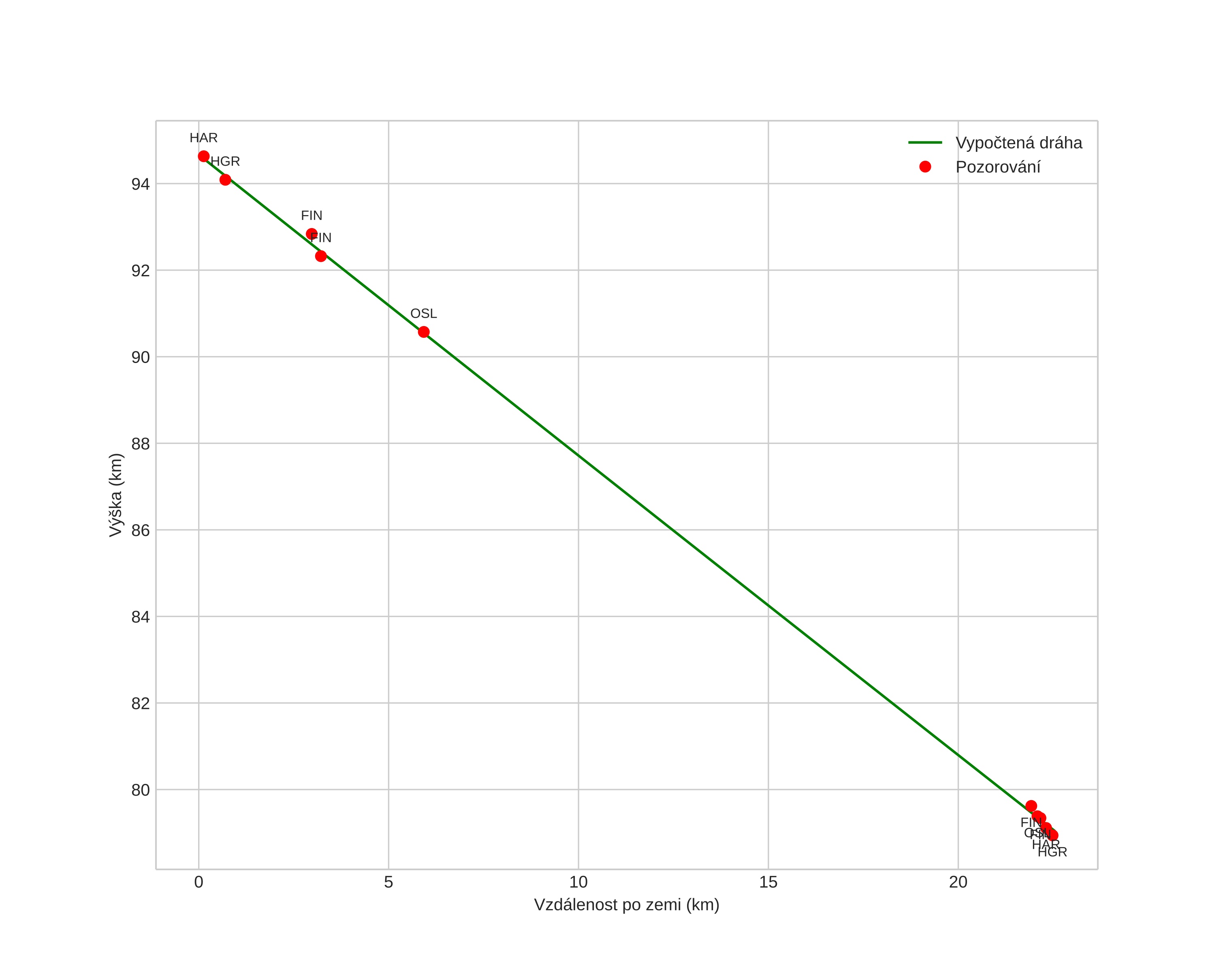
height profile
Atmosférická dráha meteoru:
Počáteční výška: 94,6 km
Konečná výška: 78,8 km
Počáteční poloha: 60,274N 9,897E
Konečná poloha: 60,428N 9,619E
Směr: 318,3°
Sklon: 34,6°
VstupnĂ­ rychlost: 23,9 km/s
Rektascenze radiantu: 05:30 (82,5°)
Deklinace radiantu: 7,4°
MeteorickĂ˝ roj: sporadickĂ˝
Elementy dráhy meteoroidu:
Vzdálenost v periheliu: 0,703 AU
Excentricita: 0,816
Sklon dráhy: 9,7°
Délka vzestupného uzlu: 92,2°
Argument perihelia: 68,5°
Střední anomálie: 354,9°
Epocha: 2024 DEC 23 20:22:23
orbit plot

NeinteraktivnĂ­ graf | InteraktivnĂ­ graf

position vs time
speed and acceleration