🇳🇴 🇬🇧 🇩🇪 🇨🇿 🇫🇮

Meteor Tromsøin yllä 2024-12-23 22:05:41 UTC

KML-tiedosto  |  Interaktiivinen kartta

Kartta näyttää meteorin suuntahavainnot. Vaaleammat viivat näyttävät suunnat havaintoasemilta meteorin ilmestyessä, ja tummemmat viivat näyttävät, missä se viimeksi nähtiin. Sininen nuoli näyttää meteorin näkyvän lennon.

static map
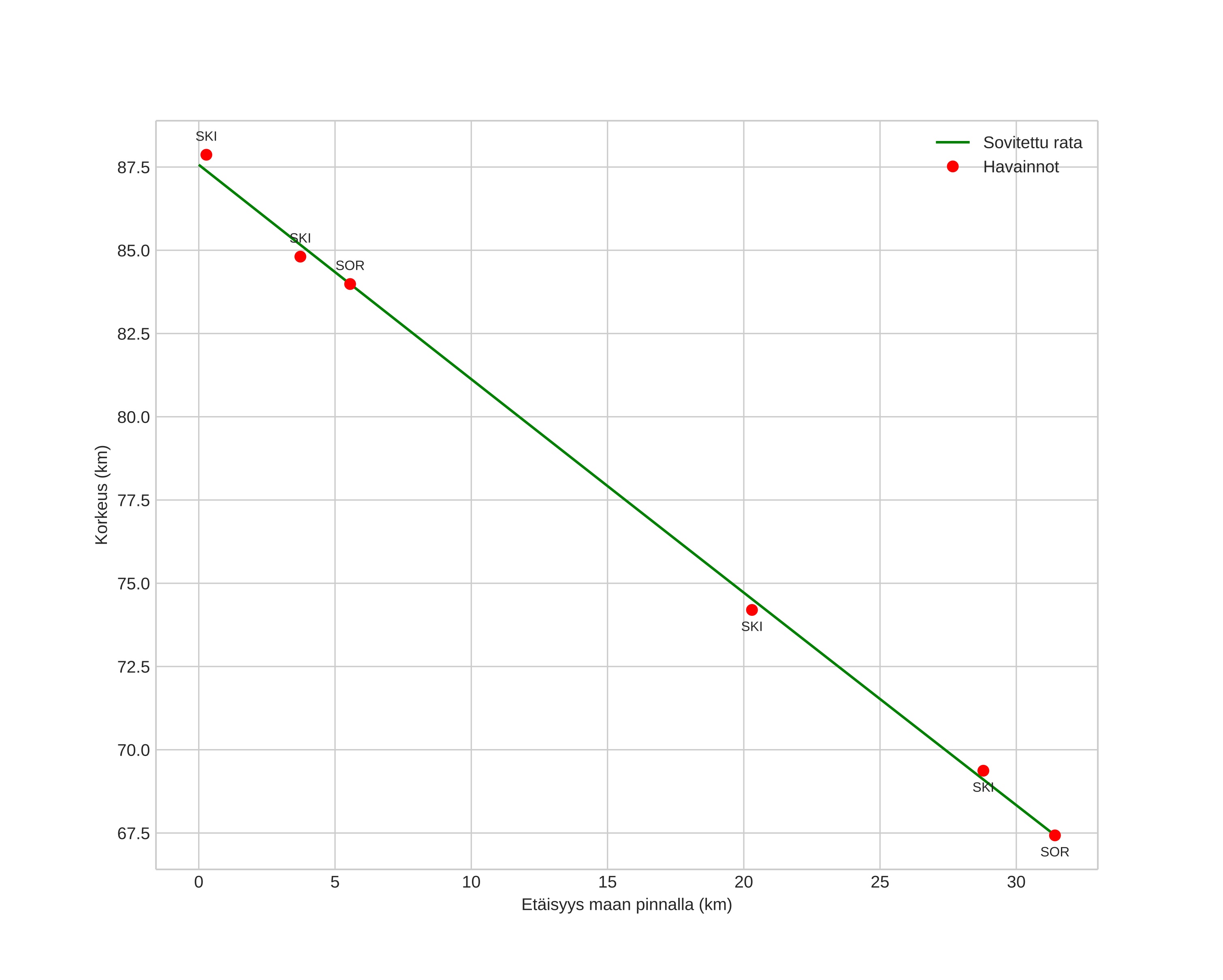
height profile
Meteorin ilmakehärata:
Alkukorkeus: 87,4 km
Loppukorkeus: 69,3 km
Alkupiste: 70,254N 17,646E
Loppupiste: 70,467N 18,084E
Suunta: 34,5°
Kallistuskulma: 32,1°
Tulonopeus: 16,3 km/s
Radiantin R,A,: 03:17 (49,3°)
Radiantin Dekl,: 5,7°
Meteoriparvi: Sporadinen
Meteoroidin rataelementit:
Perihelietäisyys: 0,929 AU
Eksentrisyys: 0,739
Inklinaatio: 3,8°
Nousevan solmun pituus: 92,3°
Perihelin argumentti: 29,6°
Keskianomalia: 356,9°
Epookki: 2024 DEC 23 22:05:41
orbit plot

Ei-interaktiivinen kuvaaja | Interaktiivinen kuvaaja

position vs time
speed and acceleration

Skibotn (SKI) cam1

gnomonic
Videot:
Kuvat:
• Alkuperäinen
Tekstitiedostot:
• Havaintoraportti
• Observaatio
• Koordinaatit
• Loki
Kirkkaus

Skibotn (SKI) cam5

gnomonic
Videot:
Kuvat:
• Alkuperäinen
Tekstitiedostot:
• Havaintoraportti
• Observaatio
• Koordinaatit
• Loki
Kirkkaus