🇳🇴 🇬🇧 🇩🇪 🇨🇿 🇫🇮

Meteor, poloha: Løten 2024-12-23 23:40:15 UTC

Soubor KML  |  InteraktivnĂ­ mapa

Mapa zobrazuje dráhy meteoru. Světlejší čáry ukazují směry od pozorovacích stanic při objevení se meteoru a tmavší čáry, kde byl naposledy viděn. Modrá šipka značí viditelnou dráhu meteoru.

static map
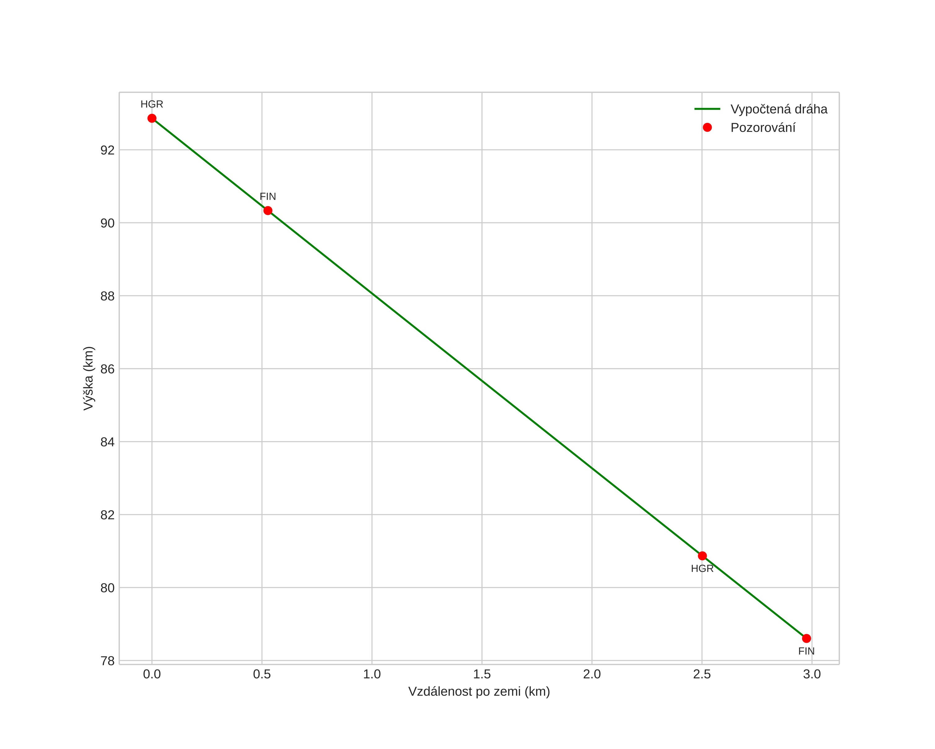
height profile
Atmosférická dráha meteoru:
Počáteční výška: 93,0 km
Konečná výška: 78,2 km
Počáteční poloha: 60,861N 11,212E
Konečná poloha: 60,871N 11,290E
Směr: 75,1°
Sklon: 73,7°
VstupnĂ­ rychlost: 17,3 km/s
Rektascenze radiantu: 04:30 (67,7°)
Deklinace radiantu: 51,5°
MeteorickĂ˝ roj: sporadickĂ˝
Elementy dráhy meteoroidu:
Vzdálenost v periheliu: 0,846 AU
Excentricita: 0,534
Sklon dráhy: 10,9°
Délka vzestupného uzlu: 272,3°
Argument perihelia: 233,2°
Střední anomálie: 344,9°
Epocha: 2024 DEC 23 23:40:15
orbit plot

NeinteraktivnĂ­ graf | InteraktivnĂ­ graf

position vs time
speed and acceleration