🇳🇴 🇬🇧 🇩🇪 🇨🇿 🇫🇮

Meteor, poloha: Hemsedal 2024-12-25 21:43:27 UTC

Soubor KML  |  InteraktivnĂ­ mapa

Mapa zobrazuje dráhy meteoru. Světlejší čáry ukazují směry od pozorovacích stanic při objevení se meteoru a tmavší čáry, kde byl naposledy viděn. Modrá šipka značí viditelnou dráhu meteoru.

static map
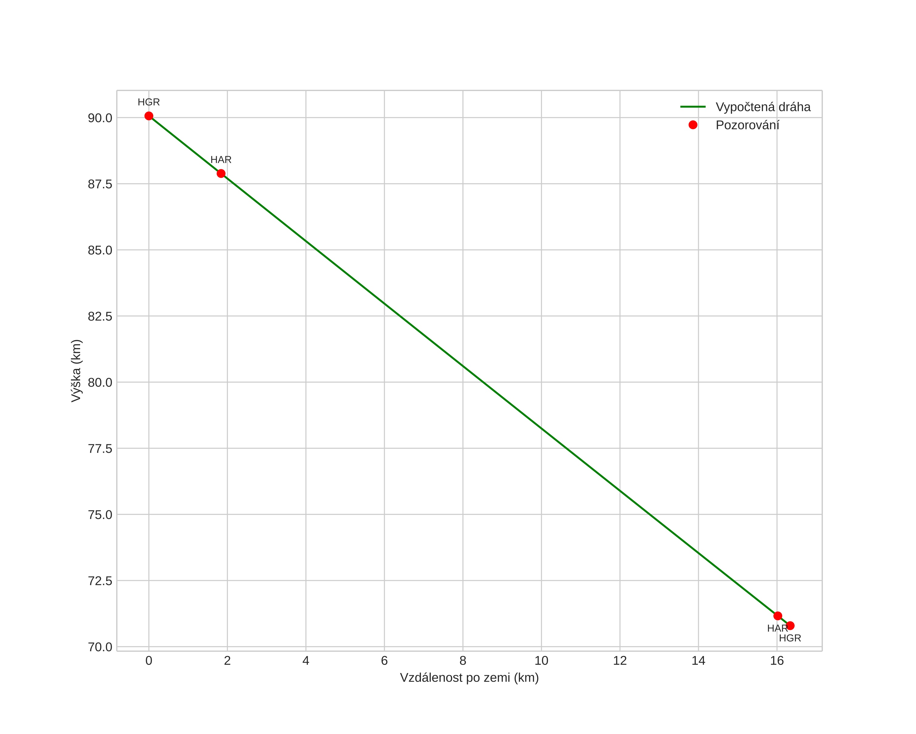
height profile
Atmosférická dráha meteoru:
Počáteční výška: 90,2 km
Konečná výška: 70,9 km
Počáteční poloha: 61,065N 8,366E
Konečná poloha: 60,924N 8,283E
Směr: 195,9°
Sklon: 49,8°
VstupnĂ­ rychlost: 38,1 km/s
Rektascenze radiantu: 13:44 (206,0°)
Deklinace radiantu: 75,3°
MeteorickĂ˝ roj: Ursidy
Elementy dráhy meteoroidu:
Vzdálenost v periheliu: 0,917 AU
Excentricita: 0,987
Sklon dráhy: 56,1°
Délka vzestupného uzlu: 274,3°
Argument perihelia: 210,2°
Střední anomálie: 360,0°
Epocha: 2024 DEC 25 21:43:27
orbit plot

NeinteraktivnĂ­ graf | InteraktivnĂ­ graf

position vs time
speed and acceleration