🇳🇴 🇬🇧 🇩🇪 🇨🇿 🇫🇮

Meteor, poloha: Sauland 2024-12-26 16:22:45 UTC

Soubor KML  |  InteraktivnĂ­ mapa

Mapa zobrazuje dráhy meteoru. Světlejší čáry ukazují směry od pozorovacích stanic při objevení se meteoru a tmavší čáry, kde byl naposledy viděn. Modrá šipka značí viditelnou dráhu meteoru.

static map
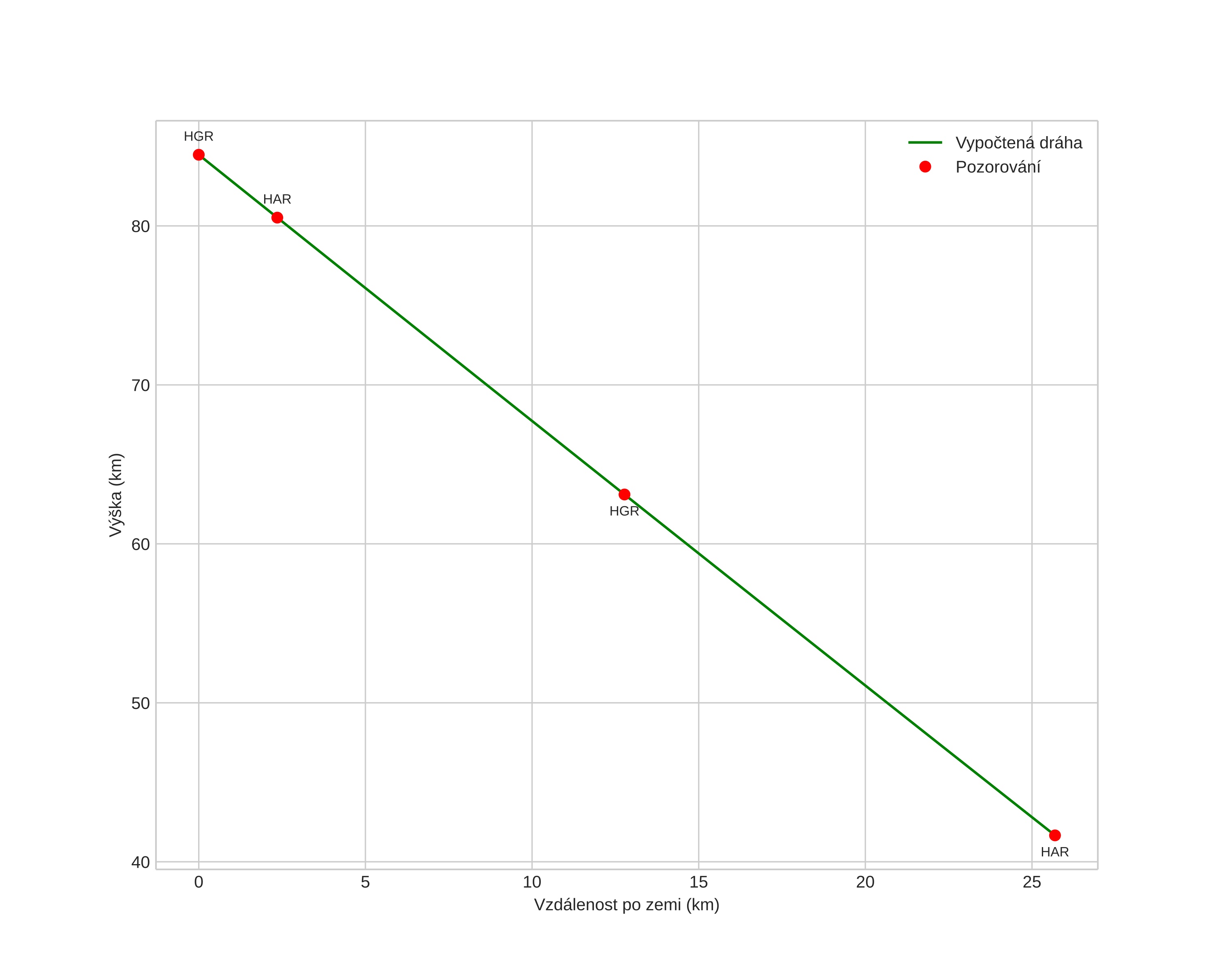
height profile
Atmosférická dráha meteoru:
Počáteční výška: 89,3 km
Konečná výška: 42,3 km
Počáteční poloha: 59,922N 8,432E
Konečná poloha: 59,775N 8,834E
Směr: 125,8°
Sklon: 59,4°
VstupnĂ­ rychlost: 23,9 km/s
Rektascenze radiantu: 18:34 (278,6°)
Deklinace radiantu: 62,0°
MeteorickĂ˝ roj: sporadickĂ˝
Elementy dráhy meteoroidu:
Vzdálenost v periheliu: 0,981 AU
Excentricita: 0,609
Sklon dráhy: 33,8°
Délka vzestupného uzlu: 275,0°
Argument perihelia: 173,4°
Střední anomálie: 1,3°
Epocha: 2024 DEC 26 16:22:45
orbit plot

NeinteraktivnĂ­ graf | InteraktivnĂ­ graf

position vs time
speed and acceleration