🇳🇴 🇬🇧 🇩🇪 🇨🇿 🇫🇮

Meteor, poloha: Bergby 2024-12-30 05:23:56 UTC

Soubor KML  |  InteraktivnĂ­ mapa

Mapa zobrazuje dráhy meteoru. Světlejší čáry ukazují směry od pozorovacích stanic při objevení se meteoru a tmavší čáry, kde byl naposledy viděn. Modrá šipka značí viditelnou dráhu meteoru.

static map
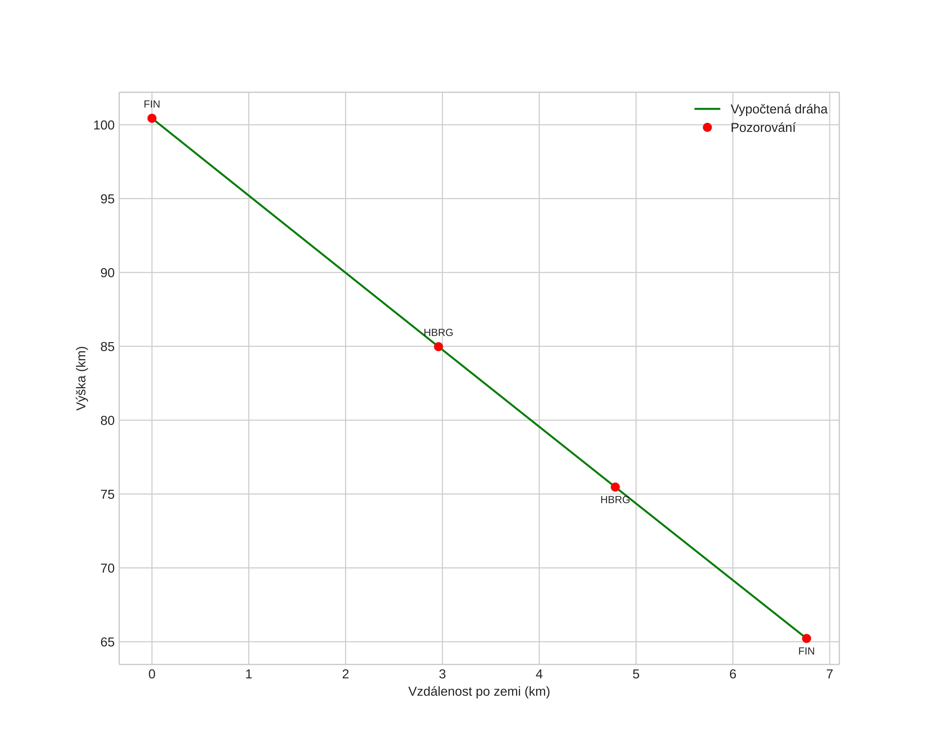
height profile
Atmosférická dráha meteoru:
Počáteční výška: 100,5 km
Konečná výška: 65,0 km
Počáteční poloha: 61,035N 17,330E
Konečná poloha: 61,033N 17,204E
Směr: 268,2°
Sklon: 79,1°
VstupnĂ­ rychlost: 43,9 km/s
Rektascenze radiantu: 14:34 (218,7°)
Deklinace radiantu: 59,6°
MeteorickĂ˝ roj: sporadickĂ˝
Elementy dráhy meteoroidu:
Vzdálenost v periheliu: 0,970 AU
Excentricita: 0,922
Sklon dráhy: 70,1°
Délka vzestupného uzlu: 278,7°
Argument perihelia: 193,7°
Střední anomálie: 359,8°
Epocha: 2024 DEC 30 05:23:56
orbit plot

NeinteraktivnĂ­ graf | InteraktivnĂ­ graf

position vs time
speed and acceleration