🇳🇴 🇬🇧 🇩🇪 🇨🇿 🇫🇮

Meteor, poloha: Malung 2024-12-30 16:51:15 UTC

Soubor KML  |  InteraktivnĂ­ mapa

Mapa zobrazuje dráhy meteoru. Světlejší čáry ukazují směry od pozorovacích stanic při objevení se meteoru a tmavší čáry, kde byl naposledy viděn. Modrá šipka značí viditelnou dráhu meteoru.

static map
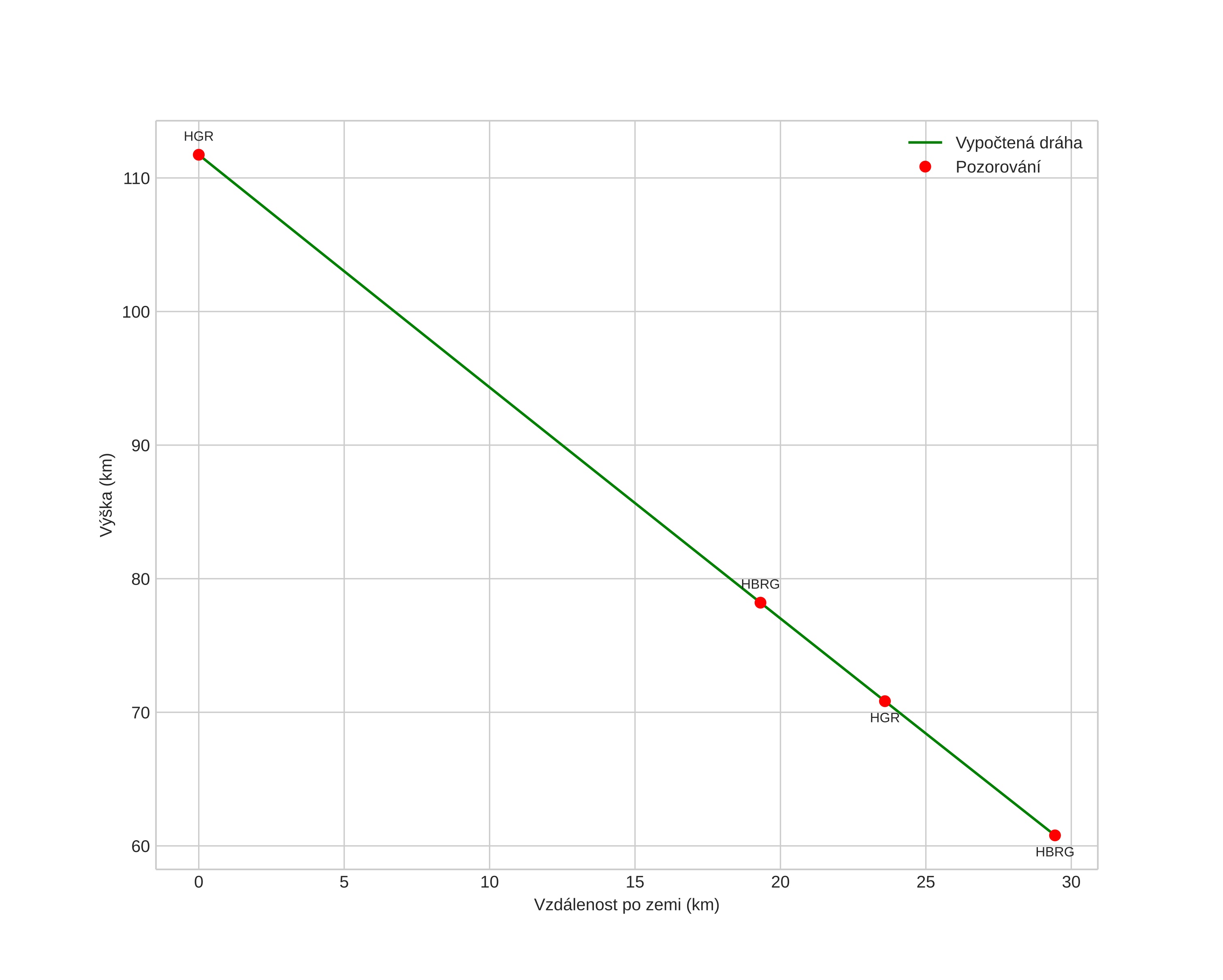
height profile
Atmosférická dráha meteoru:
Počáteční výška: 112,4 km
Konečná výška: 61,3 km
Počáteční poloha: 61,124N 13,496E
Konečná poloha: 60,863N 13,543E
Směr: 175,0°
Sklon: 60,3°
VstupnĂ­ rychlost: 28,9 km/s
Rektascenze radiantu: 16:27 (246,8°)
Deklinace radiantu: 86,5°
MeteorickĂ˝ roj: sporadickĂ˝
Elementy dráhy meteoroidu:
Vzdálenost v periheliu: 0,930 AU
Excentricita: 0,871
Sklon dráhy: 38,8°
Délka vzestupného uzlu: 279,1°
Argument perihelia: 208,0°
Střední anomálie: 359,0°
Epocha: 2024 DEC 30 16:51:15
orbit plot

NeinteraktivnĂ­ graf | InteraktivnĂ­ graf

position vs time
speed and acceleration