🇳🇴 🇬🇧 🇩🇪 🇨🇿 🇫🇮

Meteor, poloha: Teigebyen 2024-12-30 23:20:39 UTC

Soubor KML  |  InteraktivnĂ­ mapa

Mapa zobrazuje dráhy meteoru. Světlejší čáry ukazují směry od pozorovacích stanic při objevení se meteoru a tmavší čáry, kde byl naposledy viděn. Modrá šipka značí viditelnou dráhu meteoru.

static map
height profile
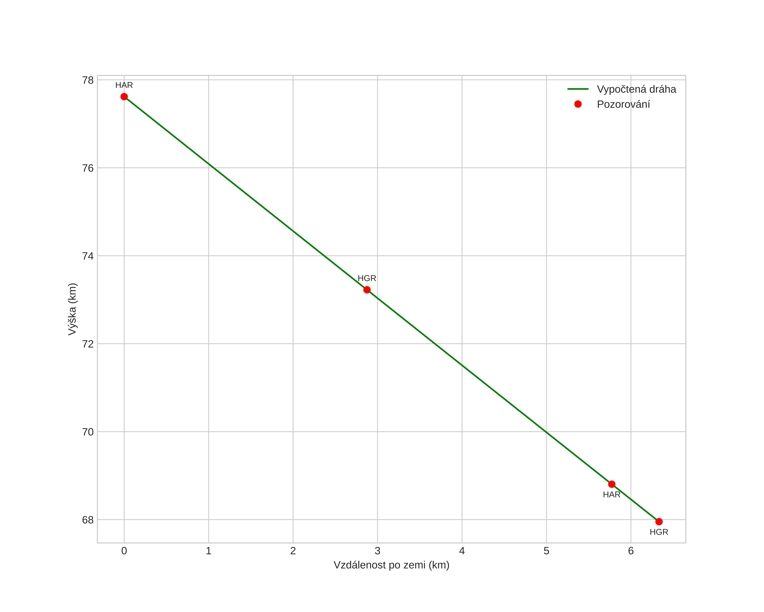
Atmosférická dráha meteoru:
Počáteční výška: 77,0 km
Konečná výška: 67,3 km
Počáteční poloha: 60,184N 10,826E
Konečná poloha: 60,214N 10,922E
Směr: 57,8°
Sklon: 57,2°
VstupnĂ­ rychlost: 15,8 km/s
Rektascenze radiantu: 04:06 (61,7°)
Deklinace radiantu: 30,5°
MeteorickĂ˝ roj: sporadickĂ˝
Elementy dráhy meteoroidu:
Vzdálenost v periheliu: 0,904 AU
Excentricita: 0,614
Sklon dráhy: 2,9°
Délka vzestupného uzlu: 279,4°
Argument perihelia: 218,1°
Střední anomálie: 352,4°
Epocha: 2024 DEC 30 23:20:39
orbit plot

NeinteraktivnĂ­ graf | InteraktivnĂ­ graf

position vs time
speed and acceleration