🇳🇴 🇬🇧 🇩🇪 🇨🇿 🇫🇮

Meteor Sunnen yllä 2024-12-30 23:32:15 UTC

KML-tiedosto  |  Interaktiivinen kartta

Kartta näyttää meteorin suuntahavainnot. Vaaleammat viivat näyttävät suunnat havaintoasemilta meteorin ilmestyessä, ja tummemmat viivat näyttävät, missä se viimeksi nähtiin. Sininen nuoli näyttää meteorin näkyvän lennon.

static map
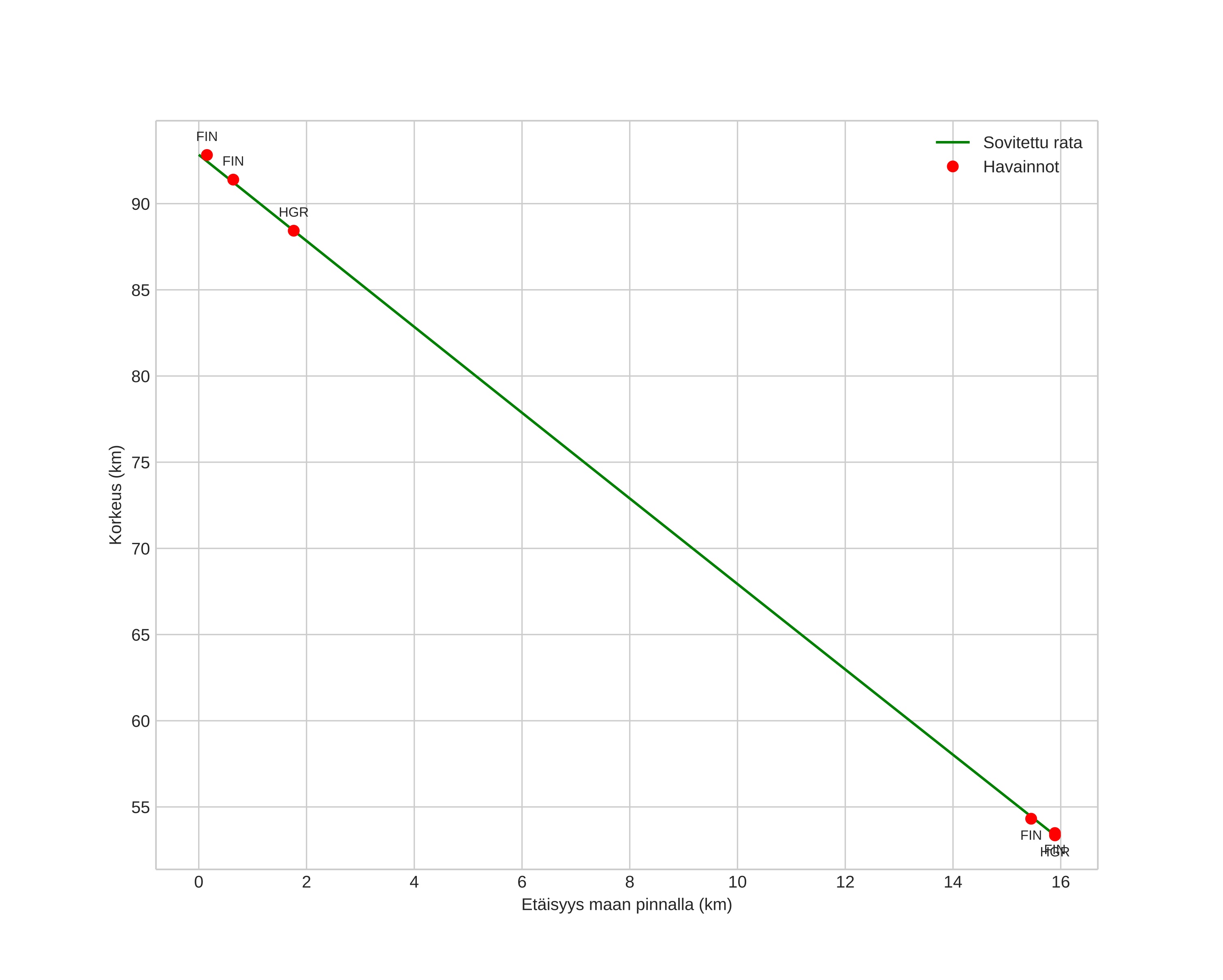
height profile
Meteorin ilmakehärata:
Alkukorkeus: 95,2 km
Loppukorkeus: 52,6 km
Alkupiste: 59,741N 13,141E
Loppupiste: 59,896N 13,130E
Suunta: 358,0°
Kallistuskulma: 68,0°
Tulonopeus: 29,8 km/s
Radiantin R,A,: 07:03 (106,0°)
Radiantin Dekl,: 36,8°
Meteoriparvi: Sporadinen
Meteoroidin rataelementit:
Perihelietäisyys: 0,501 AU
Eksentrisyys: 0,874
Inklinaatio: 13,3°
Nousevan solmun pituus: 279,4°
Perihelin argumentti: 273,0°
Keskianomalia: 354,9°
Epookki: 2024 DEC 30 23:32:15
orbit plot

Ei-interaktiivinen kuvaaja | Interaktiivinen kuvaaja

position vs time
speed and acceleration