🇳🇴 🇬🇧 🇩🇪 🇨🇿 🇫🇮

Meteor, poloha: Flisa 2025-01-02 19:57:58 UTC

Soubor KML  |  InteraktivnĂ­ mapa

Mapa zobrazuje dráhy meteoru. Světlejší čáry ukazují směry od pozorovacích stanic při objevení se meteoru a tmavší čáry, kde byl naposledy viděn. Modrá šipka značí viditelnou dráhu meteoru.

static map
height profile
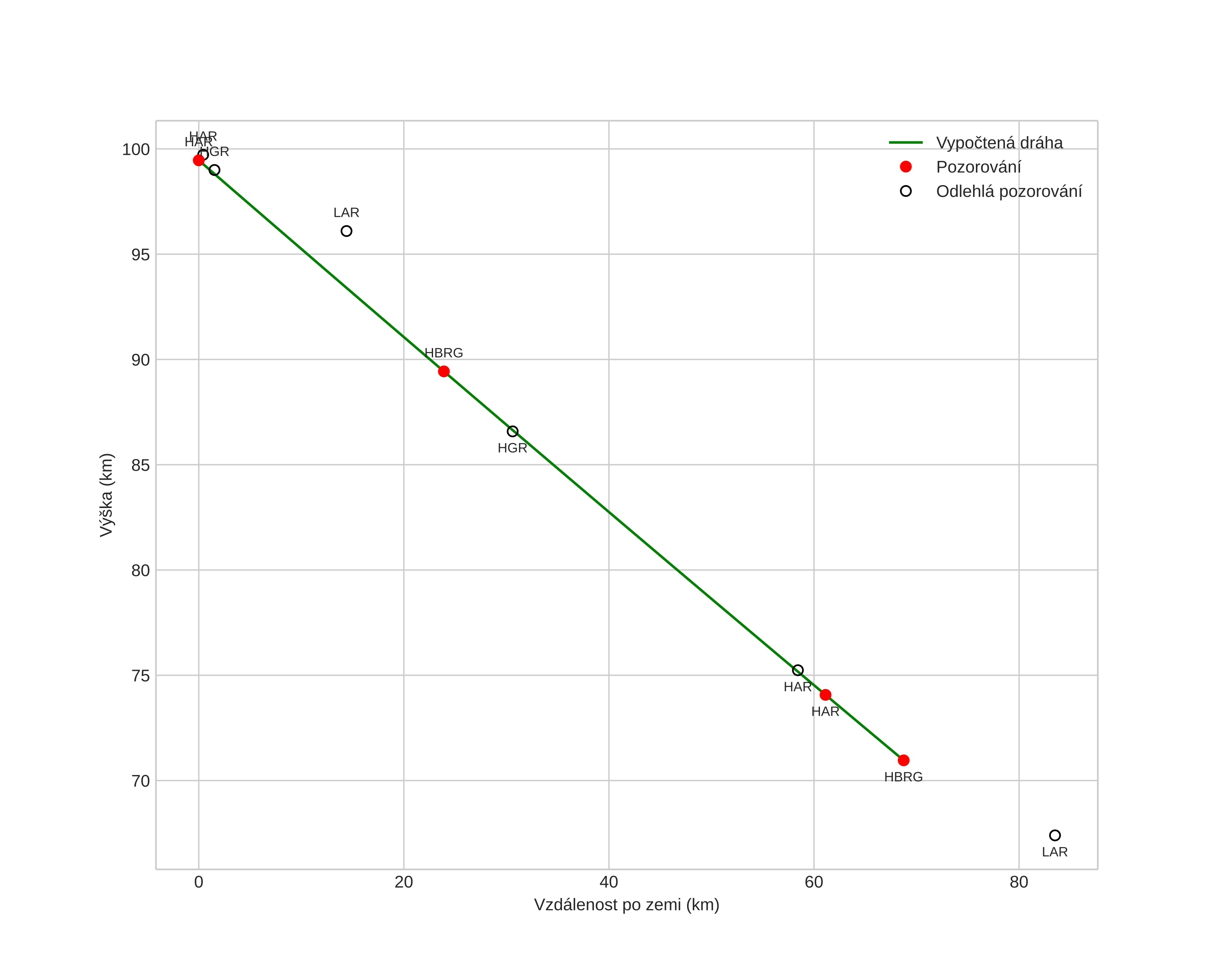
Atmosférická dráha meteoru:
Počáteční výška: 99,8 km
Konečná výška: 71,2 km
Počáteční poloha: 61,410N 12,375E
Konečná poloha: 60,787N 12,279E
Směr: 184,3°
Sklon: 22,4°
VstupnĂ­ rychlost: 41,0 km/s
Rektascenze radiantu: 15:14 (228,6°)
Deklinace radiantu: 49,5°
MeteorickĂ˝ roj: Kvadrantidy
Elementy dráhy meteoroidu:
Vzdálenost v periheliu: 0,980 AU
Excentricita: 0,553
Sklon dráhy: 70,4°
Délka vzestupného uzlu: 282,3°
Argument perihelia: 171,7°
Střední anomálie: 2,0°
Epocha: 2025 JAN 02 19:57:58
orbit plot

NeinteraktivnĂ­ graf | InteraktivnĂ­ graf

position vs time
speed and acceleration