🇳🇴 🇬🇧 🇩🇪 🇨🇿 🇫🇮

Meteor, poloha: Skui 2025-01-03 02:53:26 UTC

Soubor KML  |  InteraktivnĂ­ mapa

Mapa zobrazuje dráhy meteoru. Světlejší čáry ukazují směry od pozorovacích stanic při objevení se meteoru a tmavší čáry, kde byl naposledy viděn. Modrá šipka značí viditelnou dráhu meteoru.

static map
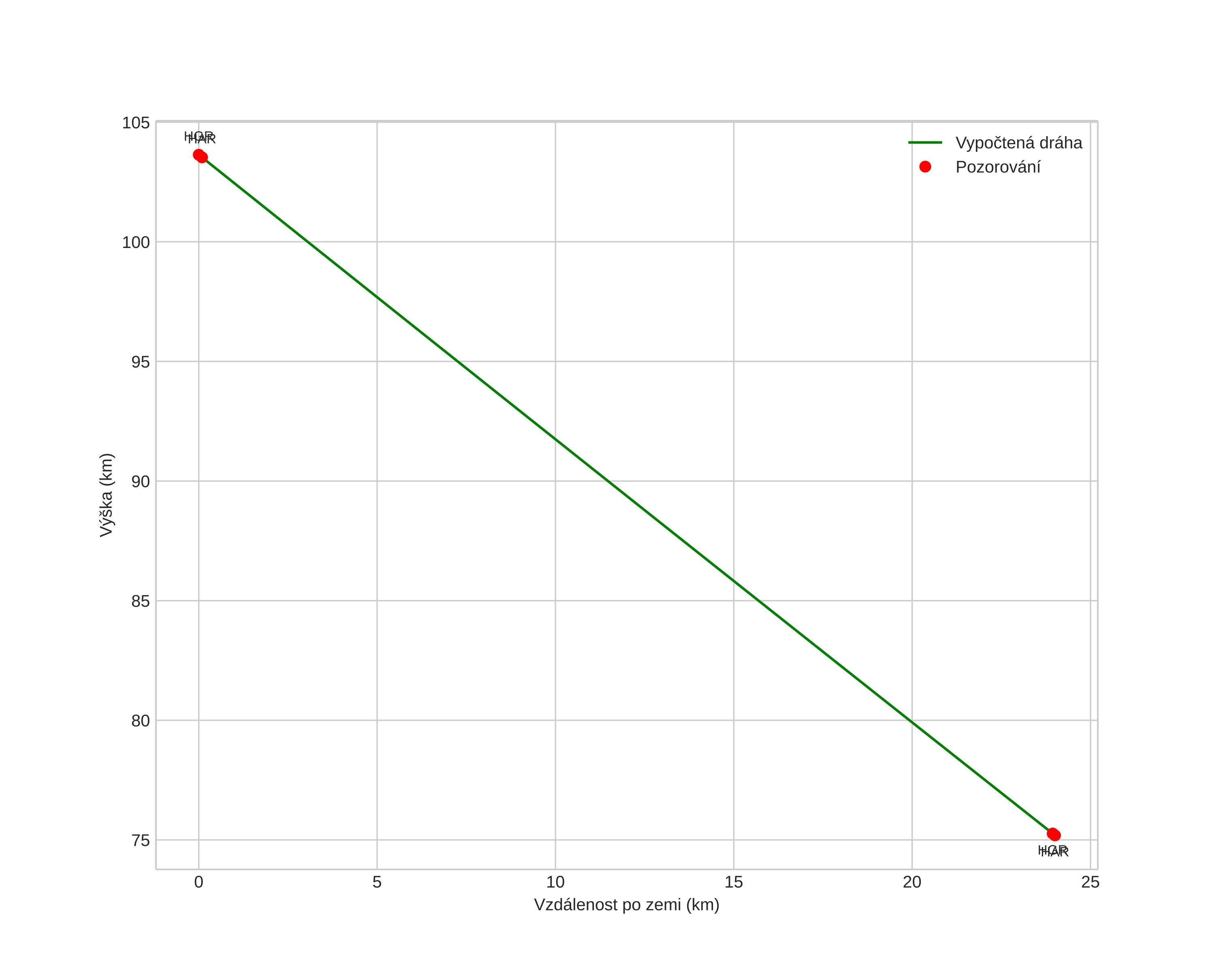
height profile
Atmosférická dráha meteoru:
Počáteční výška: 104,3 km
Konečná výška: 75,0 km
Počáteční poloha: 60,036N 10,794E
Konečná poloha: 59,971N 10,372E
Směr: 253,2°
Sklon: 50,1°
VstupnĂ­ rychlost: 43,5 km/s
Rektascenze radiantu: 15:09 (227,4°)
Deklinace radiantu: 49,0°
MeteorickĂ˝ roj: Kvadrantidy
Elementy dráhy meteoroidu:
Vzdálenost v periheliu: 0,981 AU
Excentricita: 0,661
Sklon dráhy: 73,8°
Délka vzestupného uzlu: 282,6°
Argument perihelia: 173,4°
Střední anomálie: 1,0°
Epocha: 2025 JAN 03 02:53:26
orbit plot

NeinteraktivnĂ­ graf | InteraktivnĂ­ graf

position vs time
speed and acceleration