🇳🇴 🇬🇧 🇩🇪 🇨🇿 🇫🇮

Meteor, poloha: Eidfjord 2025-01-03 04:09:39 UTC

Soubor KML  |  InteraktivnĂ­ mapa

Mapa zobrazuje dráhy meteoru. Světlejší čáry ukazují směry od pozorovacích stanic při objevení se meteoru a tmavší čáry, kde byl naposledy viděn. Modrá šipka značí viditelnou dráhu meteoru.

static map
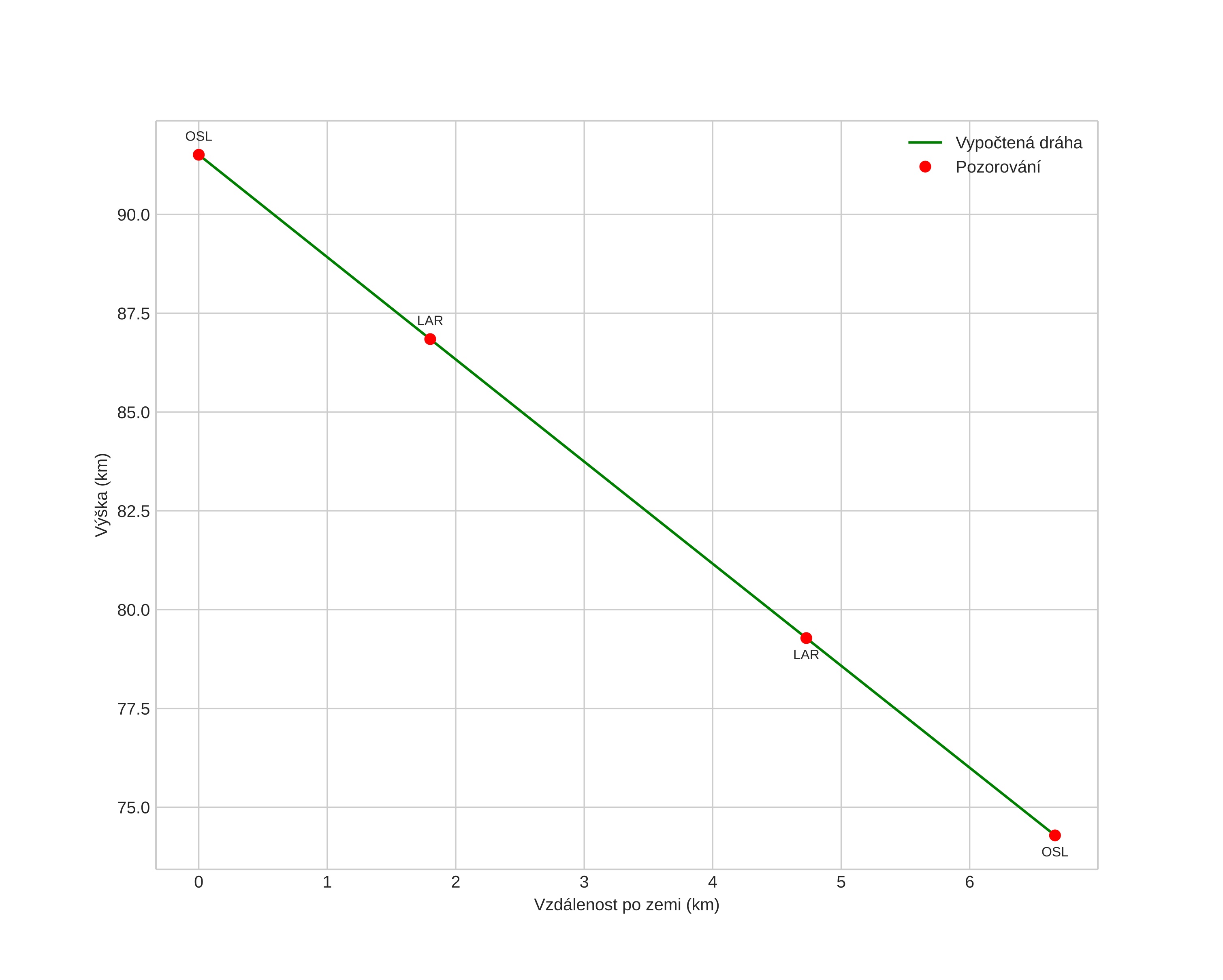
height profile
Atmosférická dráha meteoru:
Počáteční výška: 91,3 km
Konečná výška: 73,3 km
Počáteční poloha: 60,427N 7,700E
Konečná poloha: 60,407N 7,582E
Směr: 251,2°
Sklon: 69,3°
VstupnĂ­ rychlost: 63,1 km/s
Rektascenze radiantu: 14:21 (215,4°)
Deklinace radiantu: 60,5°
MeteorickĂ˝ roj: sporadickĂ˝
Elementy dráhy meteoroidu:
Vzdálenost v periheliu: 0,961 AU
Excentricita: 2,689
Sklon dráhy: 82,8°
Délka vzestupného uzlu: 282,7°
Argument perihelia: 194,4°
Střední anomálie: -16,7°
Epocha: 2025 JAN 03 04:09:39
orbit plot

NeinteraktivnĂ­ graf | InteraktivnĂ­ graf

position vs time
speed and acceleration