🇳🇴 🇬🇧 🇩🇪 🇨🇿 🇫🇮

Meteor, poloha: Birkeland 2025-01-03 05:02:23 UTC

Soubor KML  |  InteraktivnĂ­ mapa

Mapa zobrazuje dráhy meteoru. Světlejší čáry ukazují směry od pozorovacích stanic při objevení se meteoru a tmavší čáry, kde byl naposledy viděn. Modrá šipka značí viditelnou dráhu meteoru.

static map
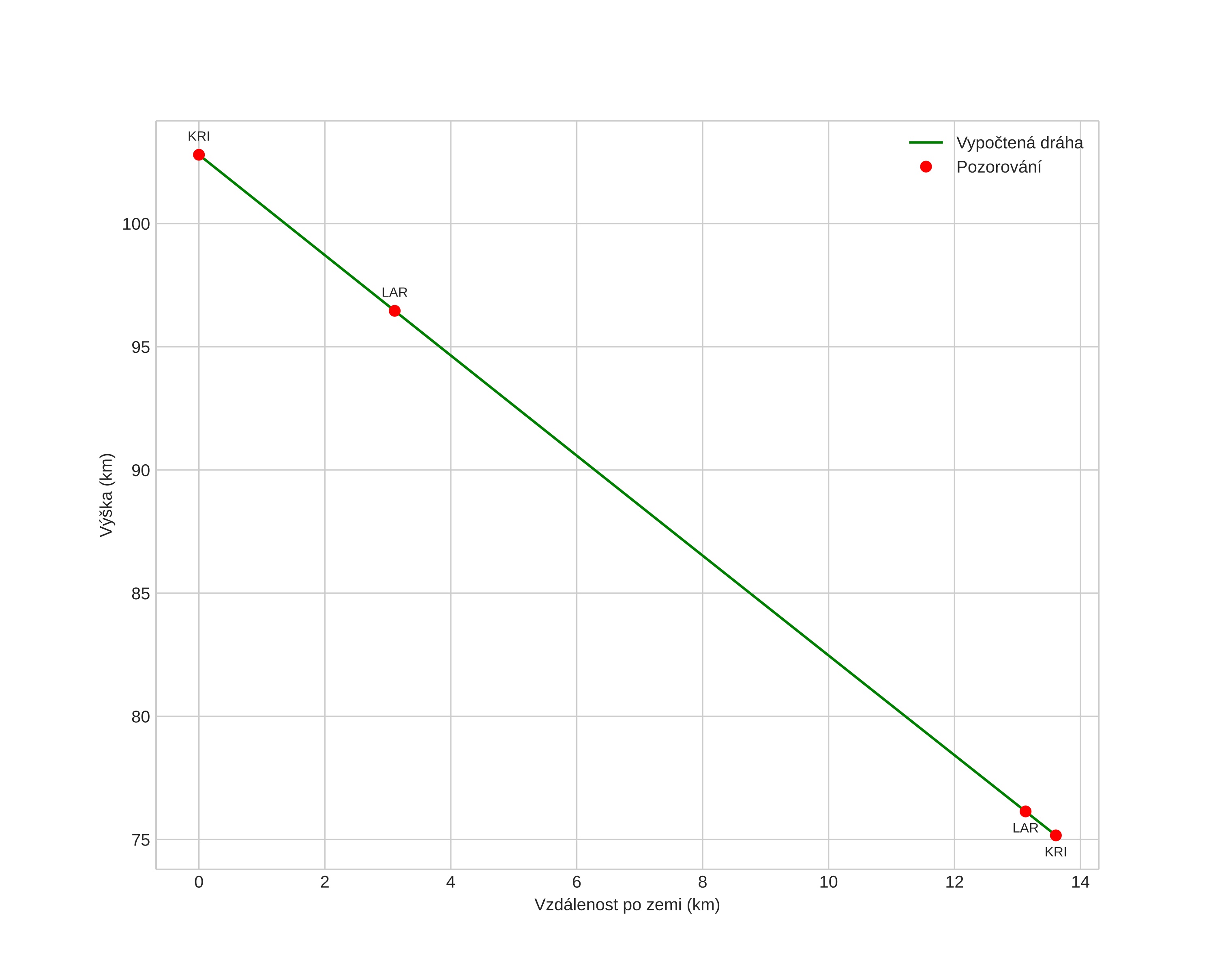
height profile
Atmosférická dráha meteoru:
Počáteční výška: 102,4 km
Konečná výška: 74,9 km
Počáteční poloha: 58,511N 8,403E
Konečná poloha: 58,515N 8,168E
Směr: 272,1°
Sklon: 63,6°
VstupnĂ­ rychlost: 42,9 km/s
Rektascenze radiantu: 15:18 (229,6°)
Deklinace radiantu: 48,9°
MeteorickĂ˝ roj: Kvadrantidy
Elementy dráhy meteoroidu:
Vzdálenost v periheliu: 0,978 AU
Excentricita: 0,663
Sklon dráhy: 72,4°
Délka vzestupného uzlu: 282,7°
Argument perihelia: 170,6°
Střední anomálie: 1,4°
Epocha: 2025 JAN 03 05:02:23
orbit plot

NeinteraktivnĂ­ graf | InteraktivnĂ­ graf

position vs time
speed and acceleration