🇳🇴 🇬🇧 🇩🇪 🇨🇿 🇫🇮

Meteor, poloha: Geilo 2025-01-03 06:04:29 UTC

Soubor KML  |  InteraktivnĂ­ mapa

Mapa zobrazuje dráhy meteoru. Světlejší čáry ukazují směry od pozorovacích stanic při objevení se meteoru a tmavší čáry, kde byl naposledy viděn. Modrá šipka značí viditelnou dráhu meteoru.

static map
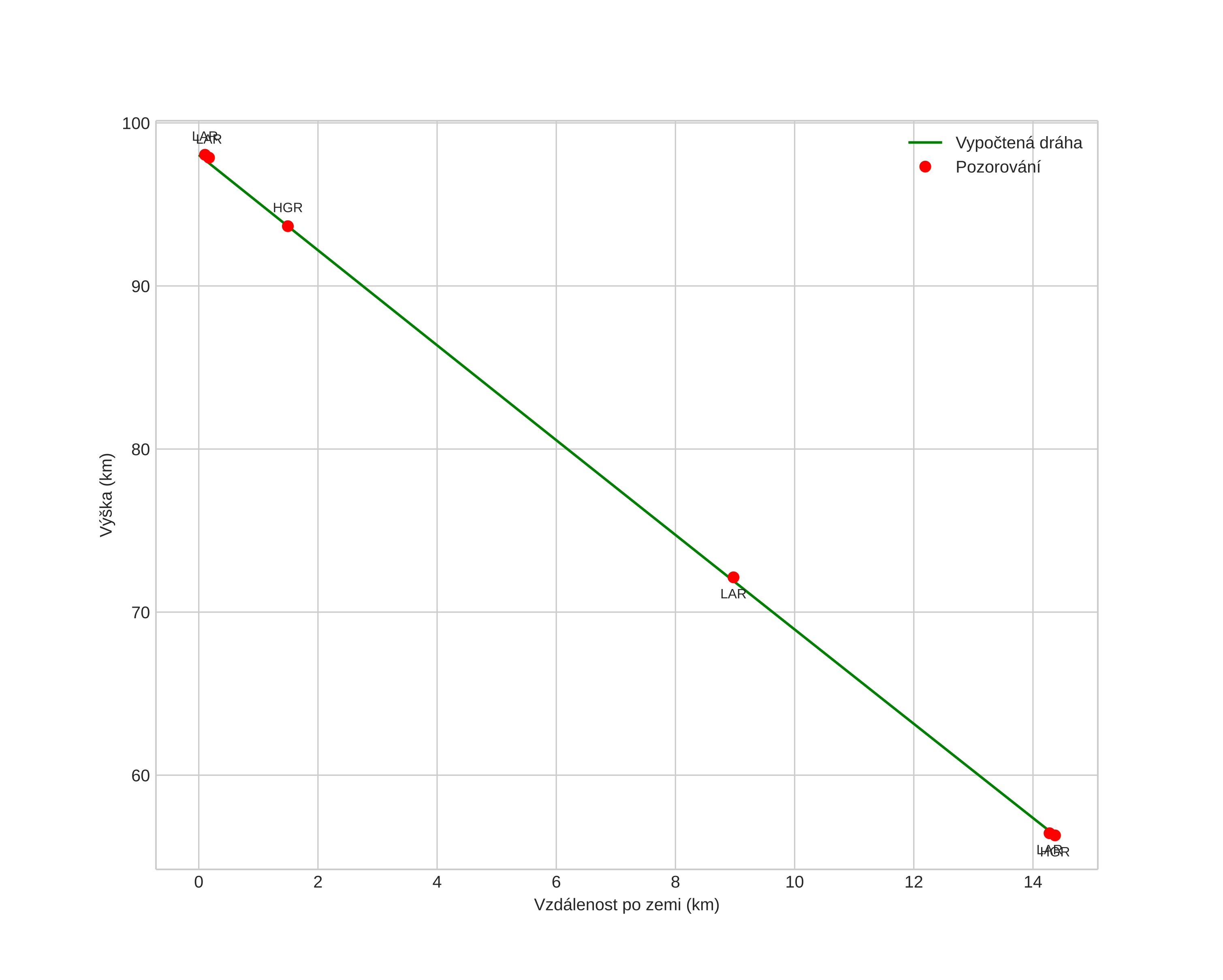
height profile
Atmosférická dráha meteoru:
Počáteční výška: 98,4 km
Konečná výška: 56,3 km
Počáteční poloha: 60,431N 7,969E
Konečná poloha: 60,491N 7,735E
Směr: 297,5°
Sklon: 71,0°
VstupnĂ­ rychlost: 44,1 km/s
Rektascenze radiantu: 15:10 (227,5°)
Deklinace radiantu: 48,2°
MeteorickĂ˝ roj: Kvadrantidy
Elementy dráhy meteoroidu:
Vzdálenost v periheliu: 0,980 AU
Excentricita: 0,678
Sklon dráhy: 74,8°
Délka vzestupného uzlu: 282,8°
Argument perihelia: 172,2°
Střední anomálie: 1,1°
Epocha: 2025 JAN 03 06:04:29
orbit plot

NeinteraktivnĂ­ graf | InteraktivnĂ­ graf

position vs time
speed and acceleration