🇳🇴 🇬🇧 🇩🇪 🇨🇿 🇫🇮

Meteor, poloha: Säffle 2025-01-03 16:49:19 UTC

Soubor KML  |  InteraktivnĂ­ mapa

Mapa zobrazuje dráhy meteoru. Světlejší čáry ukazují směry od pozorovacích stanic při objevení se meteoru a tmavší čáry, kde byl naposledy viděn. Modrá šipka značí viditelnou dráhu meteoru.

static map
height profile
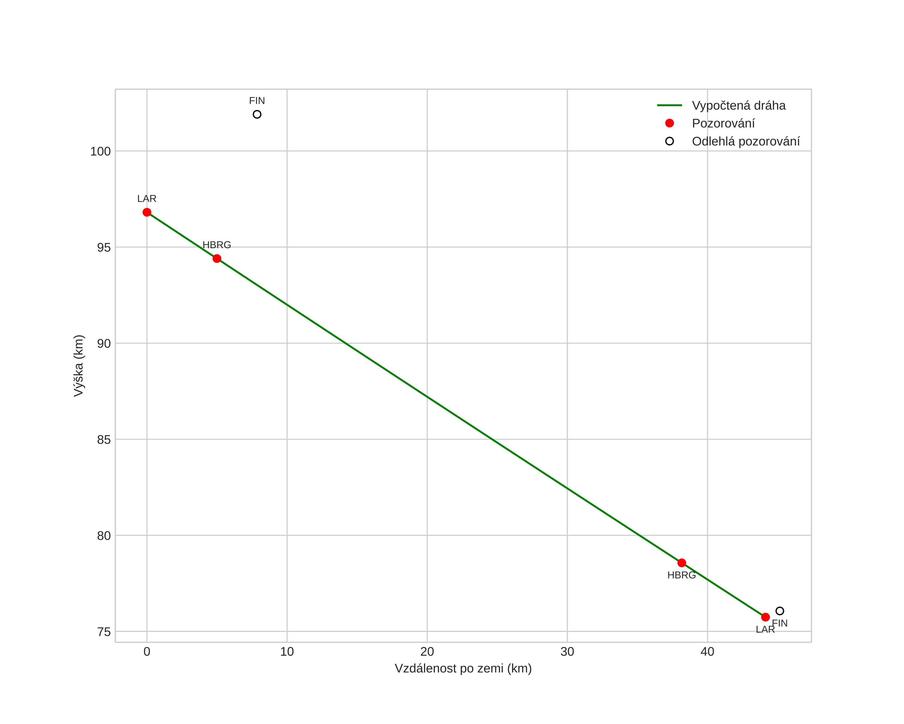
Atmosférická dráha meteoru:
Počáteční výška: 96,8 km
Konečná výška: 75,6 km
Počáteční poloha: 59,472N 12,607E
Konečná poloha: 59,125N 12,998E
Směr: 149,9°
Sklon: 25,5°
VstupnĂ­ rychlost: 41,6 km/s
Rektascenze radiantu: 15:30 (232,7°)
Deklinace radiantu: 48,8°
MeteorickĂ˝ roj: Kvadrantidy
Elementy dráhy meteoroidu:
Vzdálenost v periheliu: 0,973 AU
Excentricita: 0,652
Sklon dráhy: 70,2°
Délka vzestupného uzlu: 283,2°
Argument perihelia: 167,0°
Střední anomálie: 2,1°
Epocha: 2025 JAN 03 16:49:19
orbit plot

NeinteraktivnĂ­ graf | InteraktivnĂ­ graf

position vs time
speed and acceleration