🇳🇴 🇬🇧 🇩🇪 🇨🇿 🇫🇮

Meteor, poloha: Siljan 2025-01-03 16:49:50 UTC

Soubor KML  |  InteraktivnĂ­ mapa

Mapa zobrazuje dráhy meteoru. Světlejší čáry ukazují směry od pozorovacích stanic při objevení se meteoru a tmavší čáry, kde byl naposledy viděn. Modrá šipka značí viditelnou dráhu meteoru.

static map
height profile
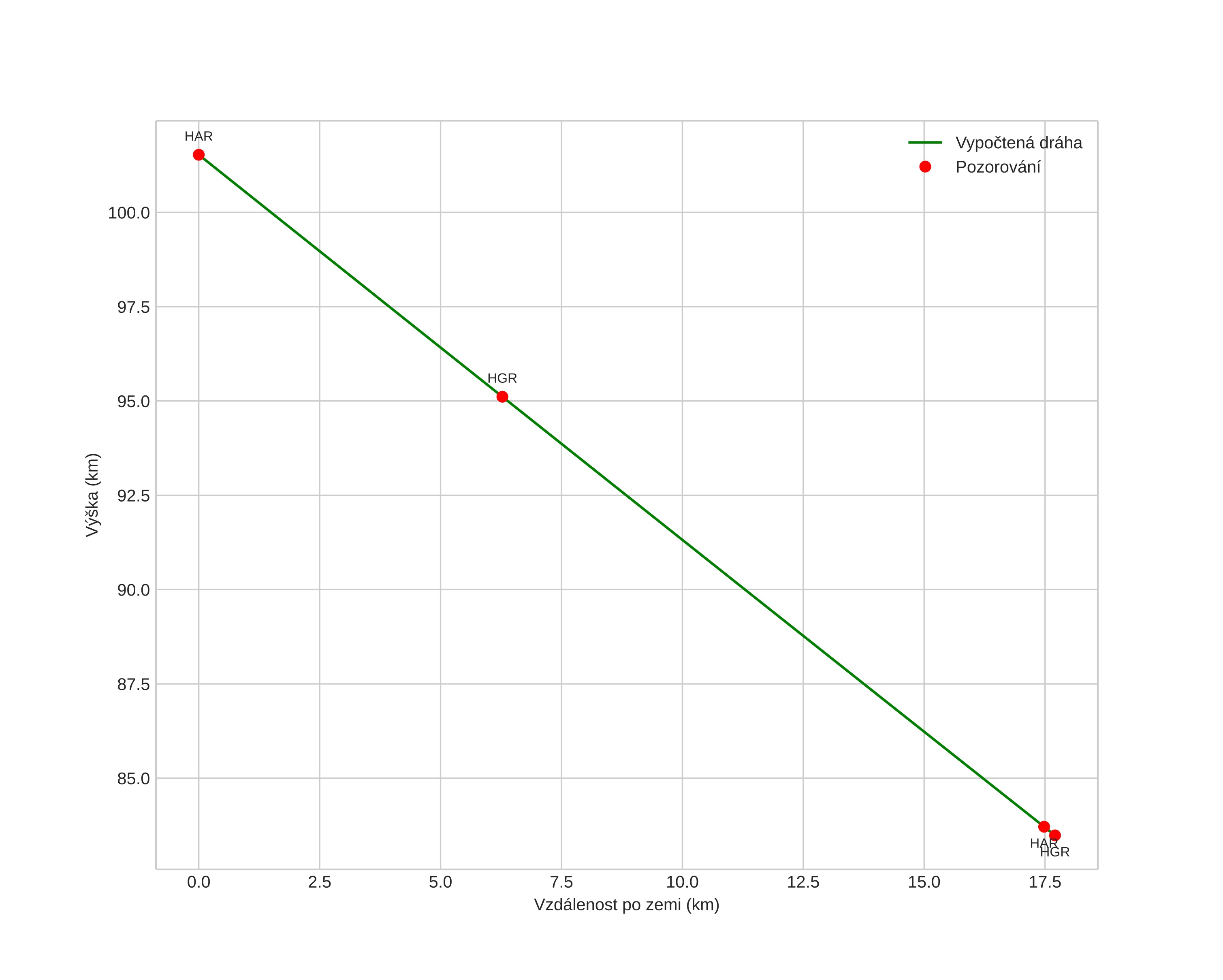
Atmosférická dráha meteoru:
Počáteční výška: 97,8 km
Konečná výška: 80,9 km
Počáteční poloha: 59,381N 9,530E
Konečná poloha: 59,297N 9,775E
Směr: 124,0°
Sklon: 45,2°
VstupnĂ­ rychlost: 31,4 km/s
Rektascenze radiantu: 18:23 (275,8°)
Deklinace radiantu: 52,7°
MeteorickĂ˝ roj: sporadickĂ˝
Elementy dráhy meteoroidu:
Vzdálenost v periheliu: 0,955 AU
Excentricita: 0,992
Sklon dráhy: 43,2°
Délka vzestupného uzlu: 283,2°
Argument perihelia: 160,3°
Střední anomálie: 0,0°
Epocha: 2025 JAN 03 16:49:50
orbit plot

NeinteraktivnĂ­ graf | InteraktivnĂ­ graf

position vs time
speed and acceleration