🇳🇴 🇬🇧 🇩🇪 🇨🇿 🇫🇮

Meteor, poloha: SkĂĄlevik 2025-01-03 18:40:12 UTC

Soubor KML  |  InteraktivnĂ­ mapa

Mapa zobrazuje dráhy meteoru. Světlejší čáry ukazují směry od pozorovacích stanic při objevení se meteoru a tmavší čáry, kde byl naposledy viděn. Modrá šipka značí viditelnou dráhu meteoru.

static map
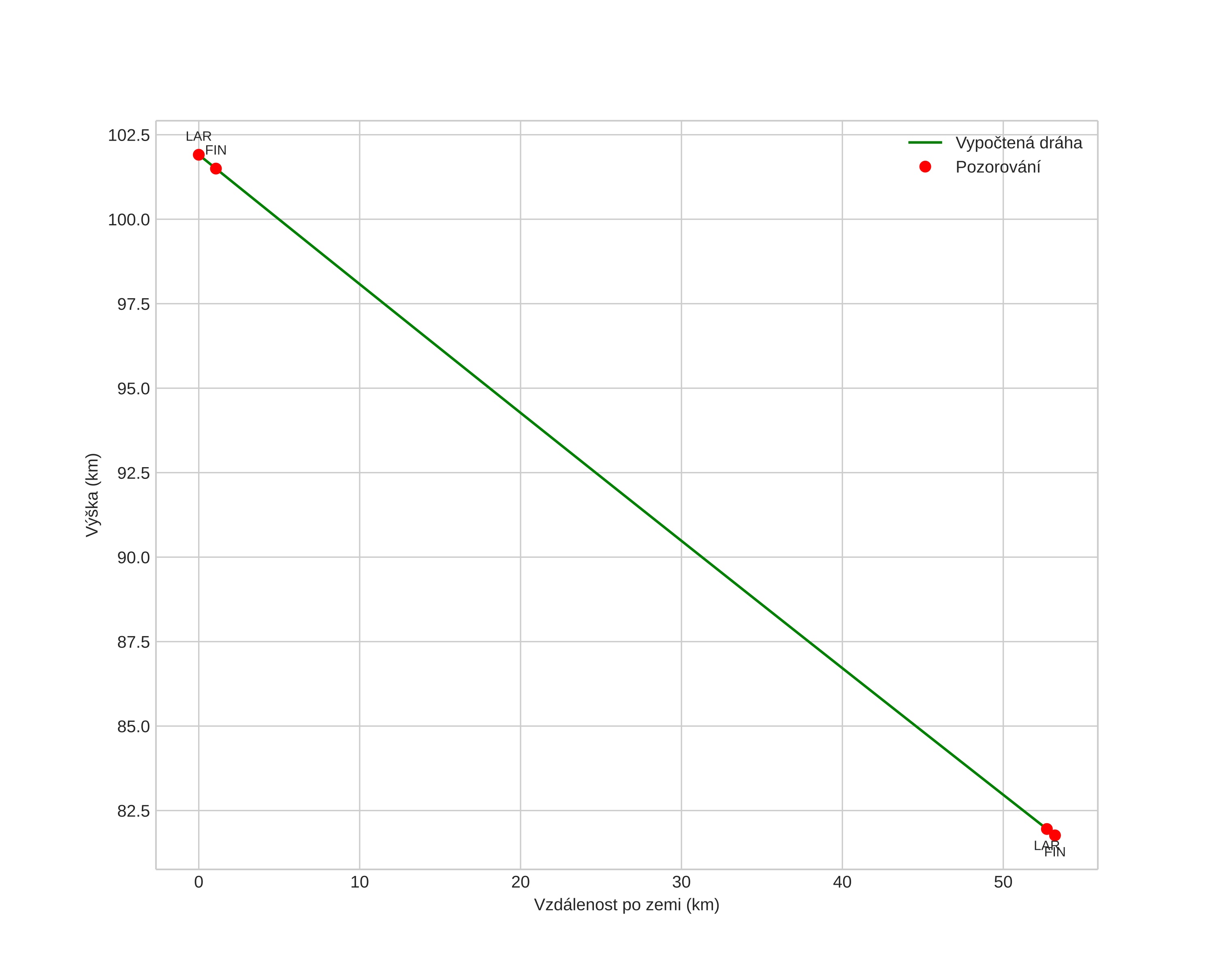
height profile
Atmosférická dráha meteoru:
Počáteční výška: 101,9 km
Konečná výška: 82,0 km
Počáteční poloha: 58,448N 7,957E
Konečná poloha: 57,964N 8,120E
Směr: 169,9°
Sklon: 20,0°
VstupnĂ­ rychlost: 43,8 km/s
Rektascenze radiantu: 15:06 (226,7°)
Deklinace radiantu: 49,6°
MeteorickĂ˝ roj: Kvadrantidy
Elementy dráhy meteoroidu:
Vzdálenost v periheliu: 0,983 AU
Excentricita: 0,695
Sklon dráhy: 74,2°
Délka vzestupného uzlu: 283,3°
Argument perihelia: 176,4°
Střední anomálie: 0,5°
Epocha: 2025 JAN 03 18:40:12
orbit plot

NeinteraktivnĂ­ graf | InteraktivnĂ­ graf

position vs time
speed and acceleration