🇳🇴 🇬🇧 🇩🇪 🇨🇿 🇫🇮

Meteor, poloha: Geilo 2025-01-03 19:28:23 UTC

Soubor KML  |  InteraktivnĂ­ mapa

Mapa zobrazuje dráhy meteoru. Světlejší čáry ukazují směry od pozorovacích stanic při objevení se meteoru a tmavší čáry, kde byl naposledy viděn. Modrá šipka značí viditelnou dráhu meteoru.

static map
height profile
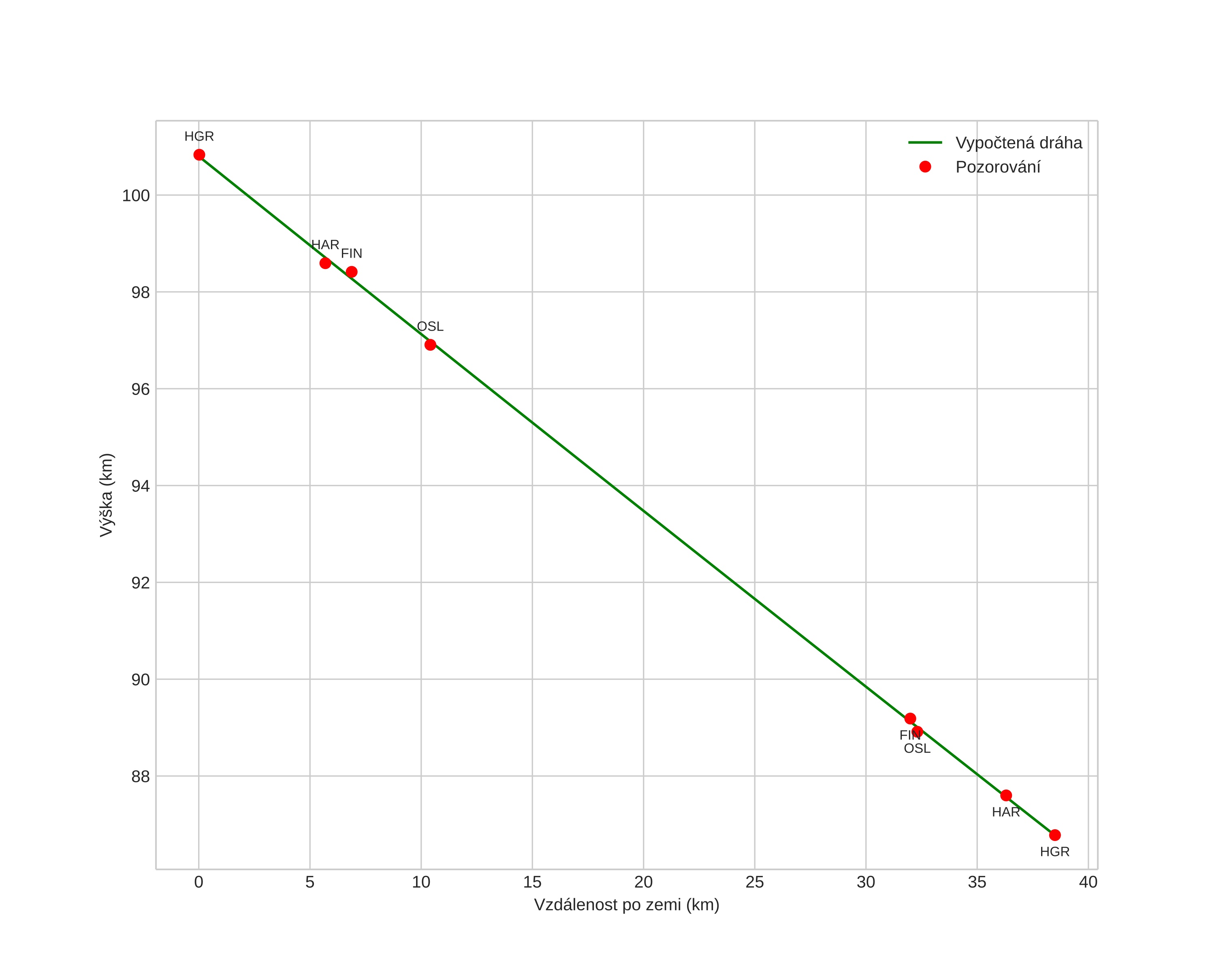
Atmosférická dráha meteoru:
Počáteční výška: 100,9 km
Konečná výška: 86,6 km
Počáteční poloha: 60,591N 7,915E
Konečná poloha: 60,242N 7,946E
Směr: 177,4°
Sklon: 20,2°
VstupnĂ­ rychlost: 43,3 km/s
Rektascenze radiantu: 15:09 (227,5°)
Deklinace radiantu: 48,3°
MeteorickĂ˝ roj: Kvadrantidy
Elementy dráhy meteoroidu:
Vzdálenost v periheliu: 0,980 AU
Excentricita: 0,631
Sklon dráhy: 74,0°
Délka vzestupného uzlu: 283,3°
Argument perihelia: 172,8°
Střední anomálie: 1,3°
Epocha: 2025 JAN 03 19:28:23
orbit plot

NeinteraktivnĂ­ graf | InteraktivnĂ­ graf

position vs time
speed and acceleration