🇳🇴 🇬🇧 🇩🇪 🇨🇿 🇫🇮

Meteor Vålerin yllä 2025-01-03 19:48:19 UTC

KML-tiedosto  |  Interaktiivinen kartta

Kartta näyttää meteorin suuntahavainnot. Vaaleammat viivat näyttävät suunnat havaintoasemilta meteorin ilmestyessä, ja tummemmat viivat näyttävät, missä se viimeksi nähtiin. Sininen nuoli näyttää meteorin näkyvän lennon.

static map
height profile
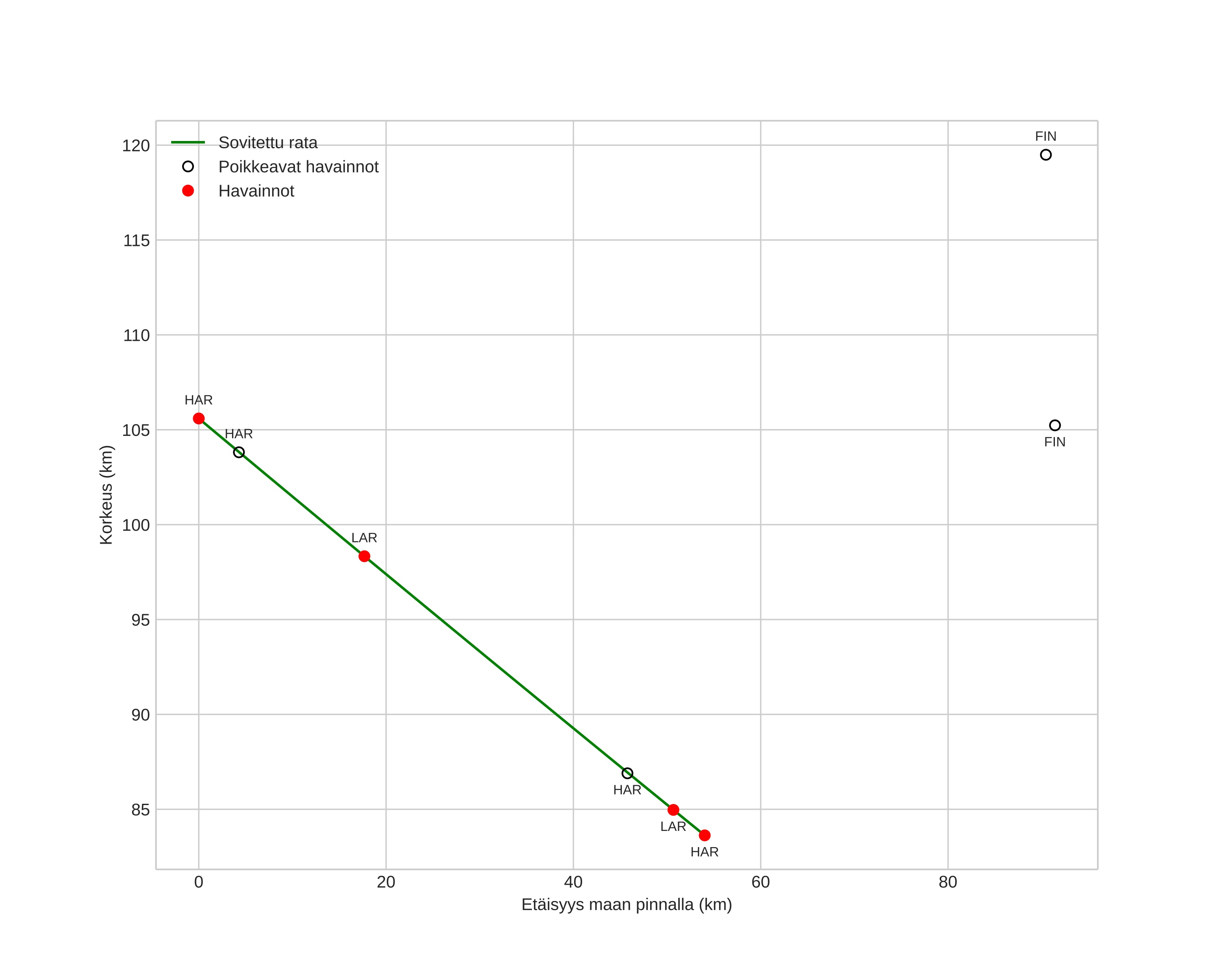
Meteorin ilmakehärata:
Alkukorkeus: 106,3 km
Loppukorkeus: 83,6 km
Alkupiste: 61,153N 11,657E
Loppupiste: 60,652N 11,627E
Suunta: 181,7°
Kallistuskulma: 22,2°
Tulonopeus: 43,3 km/s
Radiantin R,A,: 15:20 (230,2°)
Radiantin Dekl,: 49,8°
Meteoriparvi: Kvadrantidit
Meteoroidin rataelementit:
Perihelietäisyys: 0,980 AU
Eksentrisyys: 0,733
Inklinaatio: 72,3°
Nousevan solmun pituus: 283,3°
Perihelin argumentti: 172,6°
Keskianomalia: 0,8°
Epookki: 2025 JAN 03 19:48:19
orbit plot

Ei-interaktiivinen kuvaaja | Interaktiivinen kuvaaja

position vs time
speed and acceleration