🇳🇴 🇬🇧 🇩🇪 🇨🇿 🇫🇮

Meteor, poloha: Hol 2025-01-03 20:39:51 UTC

Soubor KML  |  InteraktivnĂ­ mapa

Mapa zobrazuje dráhy meteoru. Světlejší čáry ukazují směry od pozorovacích stanic při objevení se meteoru a tmavší čáry, kde byl naposledy viděn. Modrá šipka značí viditelnou dráhu meteoru.

static map
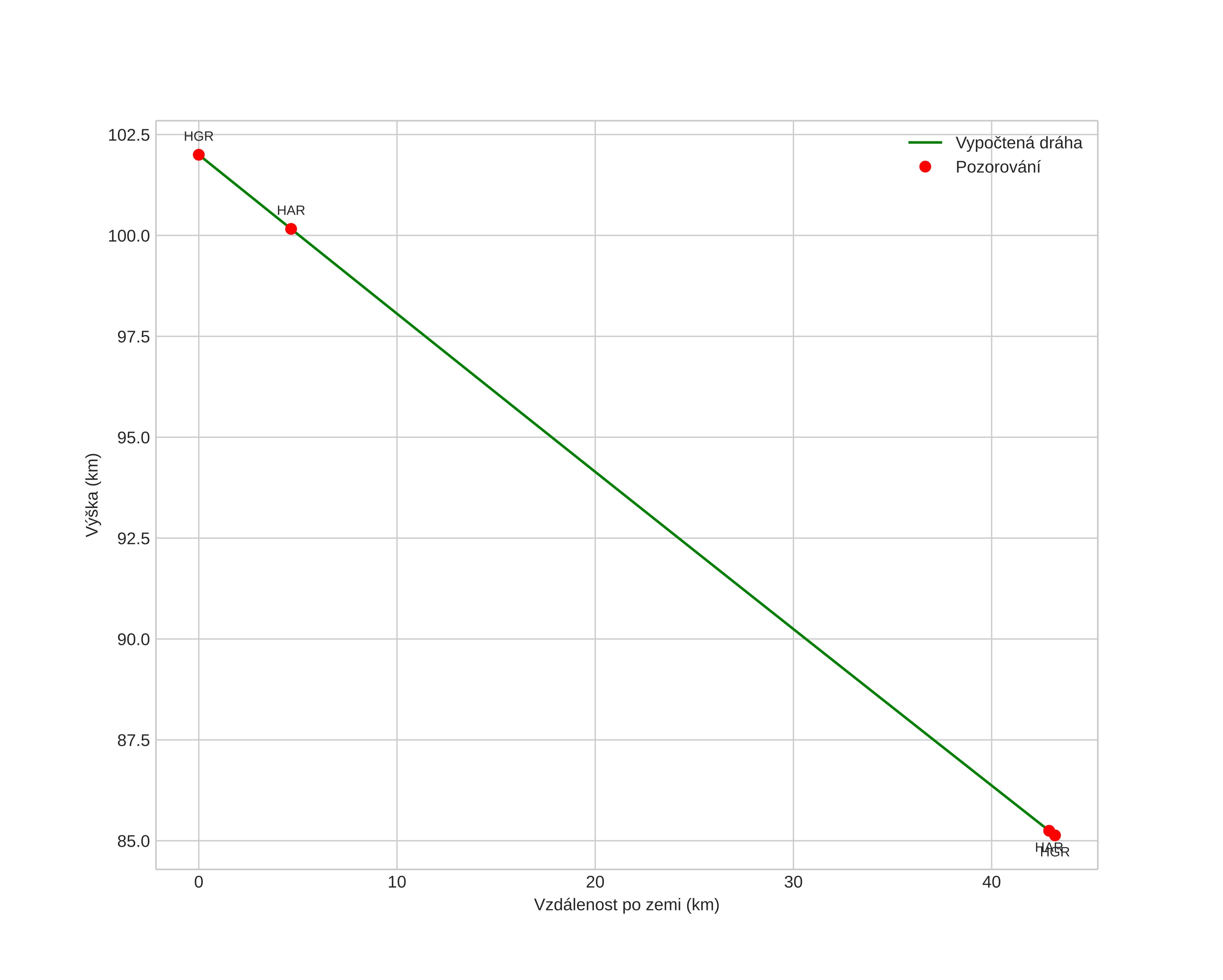
height profile
Atmosférická dráha meteoru:
Počáteční výška: 103,0 km
Konečná výška: 83,1 km
Počáteční poloha: 61,185N 8,445E
Konečná poloha: 60,727N 8,309E
Směr: 188,3°
Sklon: 21,1°
VstupnĂ­ rychlost: 42,4 km/s
Rektascenze radiantu: 15:22 (230,5°)
Deklinace radiantu: 48,3°
MeteorickĂ˝ roj: Kvadrantidy
Elementy dráhy meteoroidu:
Vzdálenost v periheliu: 0,976 AU
Excentricita: 0,630
Sklon dráhy: 71,9°
Délka vzestupného uzlu: 283,4°
Argument perihelia: 168,7°
Střední anomálie: 2,0°
Epocha: 2025 JAN 03 20:39:51
orbit plot

NeinteraktivnĂ­ graf | InteraktivnĂ­ graf

position vs time
speed and acceleration