🇳🇴 🇬🇧 🇩🇪 🇨🇿 🇫🇮

Meteor, poloha: Skagen 2025-01-03 22:19:06 UTC

Soubor KML  |  InteraktivnĂ­ mapa

Mapa zobrazuje dráhy meteoru. Světlejší čáry ukazují směry od pozorovacích stanic při objevení se meteoru a tmavší čáry, kde byl naposledy viděn. Modrá šipka značí viditelnou dráhu meteoru.

static map
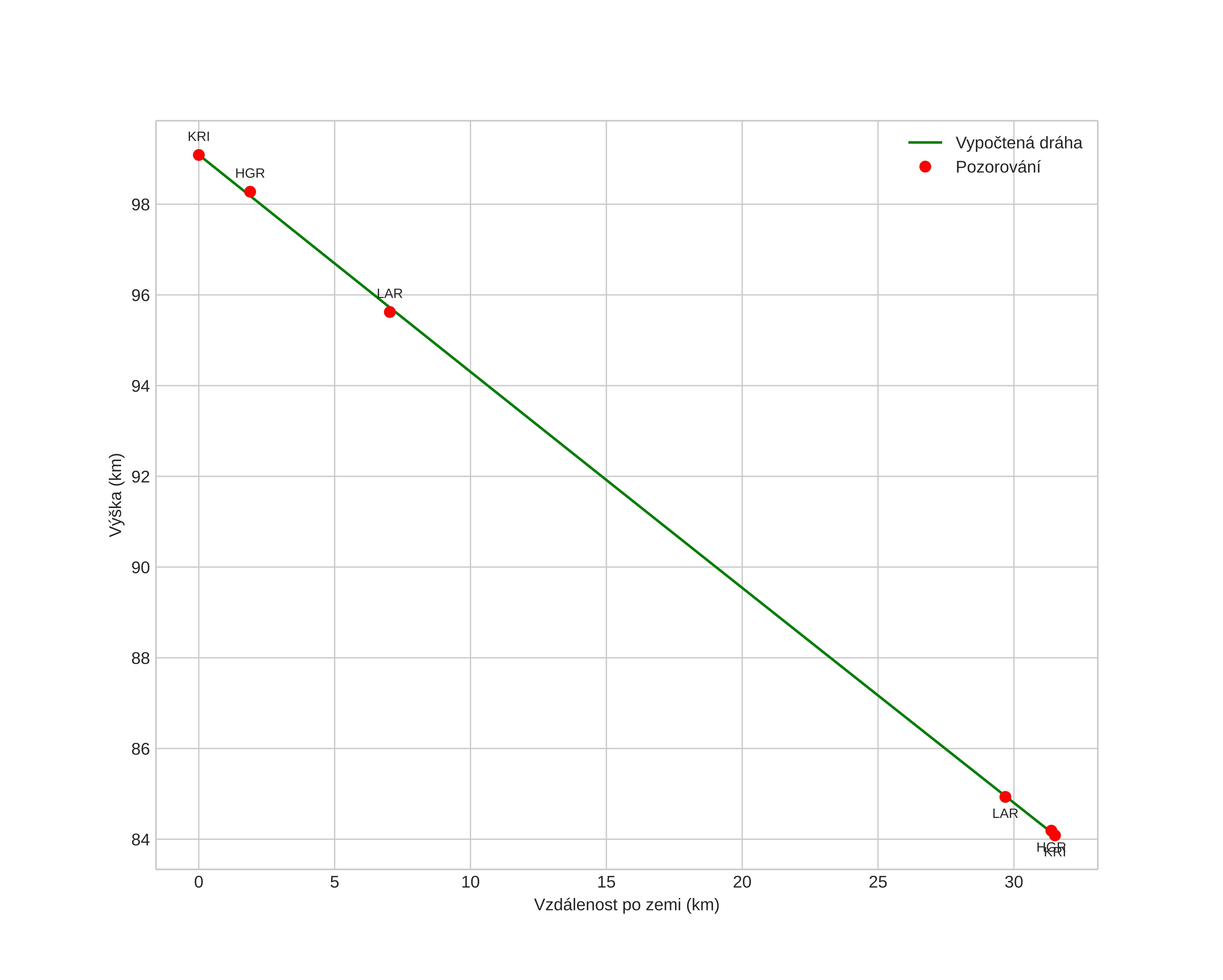
height profile
Atmosférická dráha meteoru:
Počáteční výška: 98,3 km
Konečná výška: 84,1 km
Počáteční poloha: 58,487N 10,847E
Konečná poloha: 58,251N 10,608E
Směr: 208,0°
Sklon: 25,6°
VstupnĂ­ rychlost: 43,9 km/s
Rektascenze radiantu: 15:08 (227,1°)
Deklinace radiantu: 50,8°
MeteorickĂ˝ roj: Kvadrantidy
Elementy dráhy meteoroidu:
Vzdálenost v periheliu: 0,983 AU
Excentricita: 0,742
Sklon dráhy: 73,3°
Délka vzestupného uzlu: 283,5°
Argument perihelia: 178,1°
Střední anomálie: 0,2°
Epocha: 2025 JAN 03 22:19:06
orbit plot

NeinteraktivnĂ­ graf | InteraktivnĂ­ graf

position vs time
speed and acceleration